LES ASTRONEWS de planetastronomy.com:
Mise à jour : 28 Février 2008  
 
Conférences et Événements : Calendrier   .............. Rapport et CR
Astronews précédentes : ICI        dossiers à télécharger par ftp : ICI
ARCHIVES DES ASTRONEWS : clic sur le sujet désiré :
Astrophysique/cosmologie ; Spécial Mars ; Terre/Lune ; Système solaire ; Astronautique/conq spatiale ; 3D/divers ; Histoire astro /Instruments ; Observations ; Soleil ; Étoiles/Galaxies ; Livres/Magazines ; Jeunes /Scolaires
 
Sommaire de ce numéro :  
In Memoriam : Claude Picard nous a quitté. (28/02/2008)
Le secret des étoiles : CR de la conférence de JP Zahn à l'IAP. (28/02/2008)
La rotation de la Terre : CR de la conférence de J Souchay à la SAF (Commission de Planétologie). (28/02/2008)
Les grandes structures de l'Univers : CR de la conférence de V de Lapparent à la SAF. (28/02/2008)
Cosmomania : Visite à la Cité des sciences. (28/02/2008)
Les Mathématiques de l'Astronomie : Partie 1 par B Lelard. (28/02/2008)
Micro lentille : Matière et énergie noires tissent leur trame. (28/02/2008)
La constellation du moment : Orion par DB. (28/02/2008)
Columbus : Le laboratoire spatial raccordé à l'ISS. (28/02/2008)
ATV : Le lancement approche. (28/02/2008)
Cassini-Titan :. : Les lacs de Titan, le film! (28/02/2008)
Un site Internet à découvrir :.Jalle astronomie (28/02/2008)
Photos d'amateurs : Les Pléiades vues par Daniel Magarian. (28/02/2008)
Livre conseillé.:. La Terre interne chez Vuibert. (28/02/2008)
Les magazines conseillés : Ciel et Espace de Mars est paru. (28/02/2008)
 
 
 
 
 
IN MEMORIAM : CLAUDE PICARD NOUS A QUITTÉ  (28/02/2008)
(Photos JPM)
 
 
Notre ami Claude Picard, Président de la commission de cosmologie de la SAF, nous a quitté il y a quelques jours suite à comme on dit, une longue (mais très rapide) maladie. Il avait 65 ans.
 
Il s'était engagé à fond dans ce domaine de l'astronomie et il avait même enseigné l'astronomie et la cosmologie aux UIA (Université interage) de Versailles et de Créteil en plus des cours qu'il donnait à la SAF.
 
 
Il avait réussi à ce que cette commission, une des plus populaires de la SAF,  soit un énorme succès, il faisait venir des grandes pointures de la cosmologie.
Il animait aussi avec brio les conférences du l'Institut Océanographique quand elles avaient lieu là bas.
 
 
 
Après sa dernière réunion du 26 Janvier 2008, je l'ai ramené chez lui en voiture, il n'était effectivement pas très bien, mais rien ne laissait supposer une fin aussi tragique.
 
 
 
 
 
 
 
 
 
Voici ce qu'en disait MC Paskoff rédactrice en chef de la revue l'Astronomie, quand il reçut le prix des Dames (sous entendu des Dames Flammarion) de la SAF en 2005 :
 
Prix des Dames décerné à Claude Picard  (juin 2005)
 
« Son titre d’ingénieur des Arts et Métiers, et sa carrière professionnelle dans le milieu bancaire ne prédestinaient pas Claude Picard à devenir le Président de la Commission de cosmologie de la SAF qu’il est aujourd’hui. En fait, il y eut une transition. .Lorsqu’il adhère à la SAF, en 2000, il est redevenu étudiant, pour satisfaire sa soif de connaissances et aussi pour son plaisir. Après avoir suivi quelques cours de maîtrise à Paris VII, il se plonge dans un DEA à l’IAP et à l’Observatoire de Paris, comme auditeur libre.
 
En 2001 il fonde avec Roger Kieffer la Commission de cosmologie, dont l’objectif est de regrouper des passionnés des sciences du cosmos. Il réussit tout à fait dans cette entreprise puisque cette Commission comprend une centaine de membres.
Claude Picard est aussi enseignant à la SAF et ailleurs. Il assure, en alternance avec Gérard Oudenot, l’enseignement d’astronomie qui est dispensé à la SAF, et je peux vous assurer que, les jours où il y a cours rue Beethoven, il est impossible de trouver une chaise inoccupée dans l’appartement du 3 rue Beethoven.
 
Claude Picard consacre à la SAF beaucoup de temps dans d’autres activités pour lesquelles son goût de l’ordre et de l’organisation sont précieux. Citons son rôle au sein du Comité de rédaction de l’Astronomie dont il a accompagné la création, son talent de chroniqueur de l’actualité dans la revue, ses démarches pour assurer une meilleure vente et un meilleur soutien publicitaire dans la revue, et enfin son mandat de Conseiller financier.
 
Pour tout cela, le Prix des Dames nous semble largement mérité, comme signe de reconnaissance et de remerciements. Mais nous espérons bien qu’il sera aussi pour lui une incitation à collaborer davantage  encore en apportant à l’association ses compétences, son efficacité et son intégrité. »                 Marie-Claude Paskoff
 
 
 
 
 
Salut Claude et merci pour tout.
 
Voici un florilège de quelques photos le concernant.
 
 
À sa dernière réunion du 26 Janvier 2008. (la seule de lui de cette réunion)
Le 14 Janvier 2006 avec M Lachièze Rey.
14 Mai 2005 avec R Mochkovitch.
Le 8 Octobre 2004 à la journée spéciale IAP sur les Super nova.
 
 
 
 
 
 
chickens_up.gif
 
 
COSMOMANIA : VISITE À LA CITÉ DES SCIENCES. (28/02/2008)
 
 
 
Comme annoncé précédemment, l'exposition des 50 ans de l'astronautique est visible jusqu'au 25 Mai 2008 à la Cité des Sciences et de l'Industrie de Paris après une longue période à Toulouse.
 
 
C'était l'occasion pendant les vacances scolaires d'emmener mes petits enfants (faites en autant; ils vous remercieront).
 
La Cité est pleine comme d'habitude, plein de jeunes, c'est assez réconfortant.
 
 
 
 
 
 
Voilà tiré de la plaquette presse quelques infos sur cette expo :
 
 
COSMOMANIA, la folle histoire de l’espace est une exposition de 600 m² qui propose un parcours de visite linéaire et chronologique. Elle raconte, décrypte et analyse l’exploration spatiale et ses enjeux jusqu’à nos jours, et dans un futur lointain.
 
Les visiteurs suivent les événements marquants de chaque période et découvrent, au fil de leur progression, des objets emblématiques de la conquête spatiale reproduits en taille réelle : le premier satellite américain Explorer 1, le premier satellite français Astérix, le premier satellite japonais
 
 
Entrée de l'exposition qui relate la conquête spatiale époque par époque.
Maquettes grandeur nature de Spoutnik 2 (celui de Laïka) et de Explorer I.
 
PREAM-BULLE
A l’entrée de l’exposition COSMOMANIA, le visiteur découvre l’atelier de montage de Spoutnik 1, boule métallique d’un mètre de diamètre. Il s’agit du premier satellite artificiel envoyé dans l’espace, le 4 octobre 1957.
Cette partie est suivie d’un hommage aux pionniers de l’espace et la présentation de la course entre Soviétiques et Américains.
La visite continue à travers les « bulles » reliées entre elles par les « couloirs temporels ».
 
 
LES BULLES
Dans cette partie de l’exposition, les visiteurs sont plongés dans les conditions historiques d’un des cinq grands moments de la conquête spatiale.
Chaque bulle est interactive, associée à un événement majeur de la conquête spatiale. Les visiteurs peuvent s’asseoir, manipuler les objets de toutes sortes (appareils, jouets, maquettes, documents sonores, visuels..), mais aussi regarder des émissions de télévision, écouter des reportages à la radio, feuilleter les journaux de l’époque :
- la bulle de 1961 célèbre les exploits de Youri Gagarine, premier homme à avoir flotté dans l’espace le 12 avril de cette année-là. Dans l’appartement communautaire de l’union soviétique,
résonnent des chants russes traditionnels et le Choeur de l’Armée rouge.
- la bulle de 1969 : dans la cuisine de cette famille américaine, l’enthousiasme pour l’espace est total en ce mois de juillet 69. La télévision diffuse les images des premiers pas de Neil Armstrong et Buzz Aldrin sur la Lune. Serge Gainsbourg, Bob Dylan, les Jackson Five et les Beatles donnent le ton.
 
 
 
La salle du premier Spoutnik, celui qui a ouvert l'ère spatiale.
Tableau correspondant à toutes les époques de la conquête de l'espace, avec possibilité de devenir astronaute pour un instant (mon rêve se réalise enfin!).
 
 
- la bulle de 1979 est un salon français, le soir de Noël. Une famille fête le lancement réussi d’Ariane 1 et l’installation de leur premier ordinateur, sur un fond de chansons de Laurent Voulzy, Daniel Balavoine, les Bee-Gees et Village People.
- l’étudiant européen qui occupe la chambre de la bulle de 1997 est passionné d’espace. Il assiste à la retransmission, pour la première fois par Internet, d’une image du sol martien, avec la mission Pathfinder, en écoutant Florent Pagny, Madonna, Elton John et la Macarena. dans la cuisine chinoise de la bulle de 2003, les enfants jouent sur la console vidéo tandis que leurs parents sont les témoins du premier vol d’un taïkonaute. La musique de variété chinoise côtoie le rock d’Avril Lavigne, la douceur de Norah Jones et le « Respire » engagé de Mickey 3D.
 
 
Maquette du petit robot Sojourner (1997) qui a ouvert la voie aux rovers actuels.
Maquette grandeur nature aussi de Huygens qui s'est posé sur le sol de Titan.
 
LES COULOIRS TEMPORELS
Les couloirs temporels qui relient les bulles entre elles racontent l’histoire de la conquête et de l’exploration de l’espace de 1957 à 2008 : un étonnant pneu Michelin de la navette spatiale, la Sonde Giotto qui suivit la comète de Halley en 1986, le Rover Sojourner, l’atterrisseur européen Huygens qui s’est posé sur Titan, satellite de Saturne en 2005.
Des panneaux « Top secret » présentent différents secrets d’espace dévoilés récemment.
 
L’ESPACE AUJOURD’HUI
Le dernier couloir présente l’activité spatiale aujourd’hui et ses apports dans la société.
 
L’AGORA
Dans l’Agora, les visiteurs assistent à un débat sur le présent et le futur de l’exploration spatiale entre plusieurs personnalités aux approches très différentes : des scientifiques, des non-spécialistes, des enfants... Ils sont invités à intervenir sur tous les sujets concernant de près ou de loin la vie extraterrestre, la surveillance par satellite, les outils spatiaux, la gestion de notre planète, les moyens à mettre en oeuvre pour se protéger d’une éventuelle collision avec une comète ou un astéroïde...
 
 
 
 
Dernière salle de l'exposition : l'espace aujourd'hui et demain, avec la conquête de Mars.
 
 
 
 
Une nouvelle exposition permanente : Le grand récit de l’Univers
A partir du 25 mars 2008, cette nouvelle exposition permanente de 1 900 m² raconte l’histoire de l’Univers. Loin de la leçon de science intimidante, l’exposition entraîne ses visiteurs dans une enquête passionnante pour découvrir la généalogie de la matière, en remontant le temps jusqu’à la formation des tout premiers atomes, voilà 13,7 milliards d’années
 
 
Sans oublier le planétarium, bien sûr.
 
 
 
Le dossier de presse en format pdf .
 
 
chickens_up.gif
 
 
 
LES MATHÉMATIQUES DE L'ASTRONOMIE : PARTIE 1 PAR B LELARD (28/02/2008)
 
Voici une nouvelle rubrique dans vos Astronews, suite à une demande forte, notre ami Bernard Lelard, Président de l'Association d'astronomie VEGA de Plaisir (Yvelines) se propose de nous faire découvrir la genèse des mathématiques qui ont été utiles à l'Astronomie dans cette rubrique qui comportera de nombreuses parties.
 
 
PARTIE 1 : GÉOMÉTRISATION DE L'ESPACE
 
 
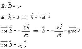
L’autre samedi, à la commission de planétologie de la SAF, Jean Souchay nous parla de la rotation de la Terre qui ne tourne pas rond autour de ses 4 axes et des planètes. Il nous parla aussi longuement d’Euler et de ses angles et surtout de D’Alembert pour lequel il participe à la nouvelle édition des œuvres complètes ( pour l’astronomie : «  Recherches sur la précessions des équinoxes et sur la nutation de l’axe de la Terre dans le système newtonien ( 1749 ) où il décrit une solution partielle au problème des 3 corps – système Terre Soleil Lune – posé par Euler, et bien avant lui par Aristarque et Galilée.
Ce système est à l’origine de la théorie des systèmes dynamiques ( comportement d’un système de corps s’influençant mutuellement ) résolu par Chazy, surtout Poincaré et l’astronome finlandais Sundman.
 
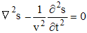
D’Alembert (voir illustration à gauche), qui inventa le «  dalembertien «   et le principe de quantité de mouvement, si utile en mécanique céleste, contribua comme d’autres mathématiciens, à l’avancée de l’astronomie
 
 
 
 
 
C’est aussi avec le laplacien, l’hamiltonien, le dalembertien que Georges Lemaître trouva par le calcul la loi de Hubble avant Hubble et l’expansion de l’Univers.
 
Depuis l’origine de l’astronomie, c’est à dire depuis l’origine des civilisations premières, la longue chaîne des mathématiciens anonymes ou célèbres apporta au bon moment les outils nécessaires à la représentation des phénomènes observés ou déduits et des idées qui firent progresser cette science première.
 
 
 
 
 
 
 
Certains, comme Claude Allègre dans son livre «  la défaite de Platon «  en 1995, ne reconnaissent pas les mathématiques comme une science car elles ne transmettent pas de savoirs naturels comme la biologie, la médecine, la géologie ou la physique. Ce brillant géophysicien, que j’admire par ailleurs, a pourtant écrit en 1985 le fameux livre «  de la pierre à l’étoile « , véritable allégorie de la Terre et de l’Univers.
 
Il est vrai que les mathématiques sont une construction intellectuelle et que les objets mathématiques n’ont aucune réalité physique.
 
Personne n’a jamais vu un point, une droite, un cercle, un méridien encore moins une intégrale ou un espace affine.
 
Mais comment appréhender le monde, partager les héritages, arpenter les champs après les inondations du Nil, suivre une étoile comme Kepler, remonter le temps géologique avec le carbone 14, mesurer les températures qui révèlent l’agitation atomique et le rayonnement cosmologique.
L’invention du calcul intégral et différentiel, qu’admirait d’Alembert, est l’une des meilleure preuve du génie humain. Les mathématiques contemporaines empilent des acquis depuis le début de l’histoire :  les tablettes de Babylone révèlent des théorèmes que l’on enseigne depuis toujours et la théorie des champs est toujours le support de l’électromagnétisme de Maxwell.
 
 
 
 
 
Einstein n’a trouvé la courbure de l’espace-temps qu’avec la géométrie de Riemann et les tenseurs de Ricci Curbastro.
 
 
 
 
 
 
Marc Lachièze Rey ne nous disait-il pas que chaque théorie sur l’Univers doit s’appuyer sur une géométrie ?
Selon lui la physique ne peut exister qu’en tant que mathématisée et l’astronomie n’échappe pas à cette règle. Le temps est géométrisé. L’espace n’existe pas : c’est un objet mathématique qui peut évoluer selon les théorie et les observations.
 
Seule la Relativité Générale regroupe l’espace et le temps en les mathématisant. Les Grecs anciens n’avaient pas la notion du temps (Aristote). Ils avaient eu l’intuition de l’espace à 2 dimensions avec Euclide et c’est Newton qui s’en servit en réinventant l’espace physique unique à 3 dimensions et en inventant la notion d’Univers unique. Cette notion d’Univers unique imposa des lois universelles ( la gravitation et la dynamique qui va avec ).
 
 
 
 
 
Galilée, lui, inventa la notion de temps et ainsi avec la géométrie Newton trouva qu’en un temps donné correspond une position.
 
 
Illustration ci contre :
«  how to draw tangents to mechanical lines “   de Newton    nov 6 1665
 
 
 
Aujourd’hui il y a conflit dans la description de l’Univers entre la Relativité Générale et la physique quantique en raison du principe d’incertitude. La RG a une courbure et un espace-temps ( donc sans temps ) pour lesquels le point n’existe pas. La physique quantique travaille dans un espace fixé avec un temps. Cette nouvelle crise de la physique ( analogue à celle due à la vitesse de la lumière au XIXème siècle – expérience de Michelson Morley ) appelle donc une nouvelle géométrie avec de nouveaux êtres mathématiques.
Il semble que la géométrie non commutative d’Alain Connes réponde à cette attente. En effet la notion de point dans un espace non commutatif disparaît, donc les relations d’incertitudes sont possibles.
 
Ainsi, sans mathématiques adaptées la représentation moderne de l’Univers est extrêmement compliquée comme l’a montré Stephen Hawking en 1975 lorsqu’il prouva que les trous noirs émettaient un rayonnement et donc n’étaient pas noirs.  Hawking est toujours pressé car son handicap ne lui permet pas  d’attendre une théorie future. Il doit donc se débrouiller avec les outils du moment. Tout comme son compatriote Andrew Wiles pour le démonstration du théorème de Fermat en 1994, il transporta et transforma son problème dans un ensemble où d’autres outils mathématiques plus simples permettaient la résolution grâce à Caley et Galois
 
 
Les mathématiques depuis les premiers systèmes de numération, les premières géométries servirent l’astronomie première et lui permirent d’avancer dans ses découvertes et vice versa lorsque les constellations révélèrent les premiers triangles et les étoiles les premiers points.
 
 
 
La progression simultanée de ces deux sciences ( n’en déplaise à Claude Allègre ) est une histoire passionnante dont la révélation rend leur compréhension réciproque plus accessible donnant ainsi l’envie d’apprendre les sciences.
 
Si l’on expliquait aux élèves que les angles servaient à mesurer des longueurs de champs de l’autre côté du fleuve, le rayon de la Terre avec un bâton planté dans le sol, à calculer l’heure d’arrivée des bateaux, la hauteur des étoiles, ils aimeraient mieux la trigonométrie.
 
Si l’on expliquait aux élèves que démontrer inlassablement des théorèmes déjà démontrés des milliards de fois servaient aux anciens grecs à préparer leur défense, construire une bonne argumentation ( hypothèse, thèse, synthèse ) au cours des nombreux procès d’Athènes, ils acquéraient mieux l’esprit mathématique et leurs jeunes discours seraient structurés.    
 
 
 
Si l’on expliquait aux élèves que les intégrales ne servent pas à passer des concours mais d’avantage à calculer la trajectoire de la sonde Rosetta pour qu’elle se pose dans 11 ans sur le noyau d’une comète
Les mathématiques étant ma première formation et l’astronomie ma dernière passion je vais donc essayer de croiser les découvertes mutuelles pour mieux comprendre l’aboutissement de ces sciences de Ninive à Orsay.
 
La suite ( les éclipses de Thalès dans les tablettes d’Assourbanipal ) dans un numéro suivant au gré des découvertes, de l’actualité astronomique et de mon temps qui, lui, existe 
 
 
À suivre
 
 
 
 
chickens_up.gif
 
 
EFFET MICRO LENTILLE : MATIÈRE ET ÉNERGIE NOIRES TISSENT LEUR TRAME. (28/02/2008)
 
 
Une équipe internationale d’astronomes a analysé les images Megacam du grand relevé « Canada-France-Hawaii Telescope Legacy Survey » (CFHTLS).
 
Ils ont observé pour la première fois les effets très faibles de lentilles gravitationnelles (micro lensing ou weak lensing en anglais) produits par des structures cosmiques extrêmement grandes.
 
En observant ces distorsions gravitationnelles à très grande distance, les astronomes observent comment la matière noire et l'énergie noire tissent leur trame des grandes structures de l'Univers actuel.
 
La distribution de matière noire à l’intérieur de filaments s’étendant sur des distances allant jusqu’à 270 millions d’années-lumière apporte un éclairage nouveau sur l’histoire de la formation des grandes structures, les propriétés de l’Univers sombre et les paramètres cosmologiques.
 
Ces mesures ont été effectuées grâce à la méthode des micro lentilles gravitationnelles, cette méthode nous avait été expliquée à la SAF par Yannick Mellier (auteur aussi de l'article) et vous trouverez le compte rendu de sa présentation ICI.
 
On peut détecter la présence de la matière noire dans la signature lumineuse de ces galaxies lointaines.
Ceci est obtenu grâce à la plus grande caméra numérique du monde, la Megacam du CFHT.
 
Les mesures indiquent une confirmation des modèles cosmologiques actuels.
 
Ces résultats ont été publiés dans la revue Astronomy & Astrophysics Main Journal  dans cet article originale de 20 pages pdf
Very weak lensing in the CFHTLS wide: cosmology from cosmic shear in the linear regime
 
 
 
Pour avoir une idée du champ (immense) de la Megacam par rapport à la taille de la Lune.
Les différentes contraintes des modèles cosmologiques combinées aux mesures effectives, limitent la zone très probable où se situe notre Univers au point de vue cosmologique. bleu = CFHT vert = WMAP jaune = combinaison des deux données.
 
 
Communiqué de presse (anglais) du CFHT.
 
Le site du CFHT.
 
 
 
chickens_up.gif
 
 
 
 
 
LA CONSTELLATION DU MOMENT : ORION PAR DANIELLE BAUDVIN. (28/02/2008)
 
Notre amie Danielle nous propose une nouvelle rubrique dans ces Astronews, une constellation visible en ce moment et dont on va retracer l'historique au point de vue mythologie et astronomie.
 
Nous commençons par cette merveilleuse constellation d'hiver : Orion, le chasseur.
 
 
 
 
Étoile, où t'en vas-tu, dans cette nuit immense ?
Où t'en vas-tu si belle, à l'heure du silence ?
(A.             de Musset, Le Saule)
 
La Région d'Orion :
 
Au cœur de l'hiver, dans l'hémisphère boréal, joyau des nuits de janvier, la constellation d'Orion s'élève à l'Est, dès la nuit tombée, encadré de son cortège d'autres constellations, formant, dans leur ensemble, sur la voûte étoilée, une figure communément appelée le Grand G, que nous dessinerons après les avoir étudiées une par une.
 
 
Orion se situe dans le ciel au cœur d'une spirale de neuf étoiles remarquables que l'astronomie populaire appelait "le grand G céleste": les Trois Rois Mages, Rigel, Sirius, Procyon, Pollux, Castor, Capella et Aldébaran.
Un peu d'histoire : l'usage de cet ancien symbole du G est frappant dans tout l'art de la méso-Amérique, et représente notre galaxie spirale appelée "voie lactée".
Le G est prononcé "Hay" ou "Hay Ya" qui est chanté dans toutes les cultures indigènes américaines.
 
 
Cette région du ciel comporte les constellations suivantes :
-         - Orion
-         - Le Lièvre,
-         - Le Grand Chien,
-         - Le Petit Chien,
-         - Les Gémeaux,
-         - Le Cocher,
-         - Le Taureau.
 
 
Schéma du grand G d'Orion en rouge.
 
 
 
 
 
 
 
L'histoire de ces constellations prend naissance dans les différentes mythologies des peuples anciens du berceau méditerranéen.
Orion, la principale, a la forme d'un papillon aux ailes ouvertes.
 
Elle est une figure du ciel célèbre chez tous les peuples de l'antiquité.
Chez les Babyloniens, elle représentait le berger fidèle du Ciel, gardien des étoiles.
Les Égyptiens y voyaient le Dieu Osiris.
Les mythologies Grecque et Romaine y ont vu, elles, l'image du gigantesque chasseur de bêtes fauves, aux larges épaules, armé de son épée et de son bouclier.
 
Ce jalon du ciel, que constitue l'alignement P. A. M. S. (Pléiades – Aldébaran – Mages – Sirius) a servi de point de repère et beaucoup aidé les marins de l'antiquité au cours de leurs navigations de haute mer, puis les Égyptiens, car le lever héliaque de Sirius , (peu avant le lever du soleil), annonçait le début de la crue du Nil.
 
 
Cette constellation était présentée comme le symbole des tempêtes dans l'antiquité Grecque, ce qui n'étonnera personne, puisque dans cette mythologie, Orion était le fils de Poséidon, Dieu des Océans et d'Euryalé, fille de Minos, roi de Crête.
 
 
 
 
 
 
 
 
 
 
 
Orion le chasseur (Hunter en anglais) et une superbe photo de Matthew Spinelli.
 
Sa taille gigantesque lui permettait de marcher sur le fond des mers tout en conservant sa ceinture au-dessus des eaux.
Il parcourait ainsi le monde, allant de continent en continent.
Son adresse à la chasse devint légendaire et tous les rois des royaumes alentours louaient ses services afin qu'il les débarrasse de ces hordes de bêtes sauvages qui décimaient les troupeaux et les hommes.
 
 
 
Il s'acquittait de cette tâche à merveille et sa renommée ne cessait de grandir.
Mais il était brutal, dépourvu de délicatesse et se comportait très grossièrement avec les femmes.
Un jour, le roi de l'île de Chios, Oenopion, lui proposa la main de sa fille Méropée, en échange de ses services de chasseur.
Toutes les bêtes sauvages de l'île détruites, Orion voulut épouser Méropée, mais Oenopion revint sur sa parole.
Furieux, Orion enleva Méropée et la viola.
Devant cet affront, Oenopion creva les yeux d'Orion avec sa dague.
Orion fut abandonné sur une plage avec Sirius et Procyon, ses deux chiens fidèles qui léchèrent ses plaies.
Son père Poséidon eut pitié de lui.
Pour l'aider à recouvrer la vue, il lui envoya Céladion qui, juché sur ses épaules, lui indiqua la route à suivre vers l'Est, où les premiers rayons du soleil levant, Hélios, le guériraient.
La déesse Aurore, Eos, voyant venir Orion, fut prise d'une incontrôlable passion pour lui.
Ils s'aimèrent tendrement et les premiers chauds rayons d'Hélios guérirent Orion.
Mais Orion quitta Eos, qui répandit ses pleurs sur terre.
En fait, les perles de rosée du matin ne sont que les larmes d'Eos, preuves de son éternel chagrin d'amour….
Orion poursuivit sa route et rencontra Artémis, la déesse de la chasse et la protectrice des animaux sauvages.
Elle voulait le punir d'avoir éliminé toutes les bêtes fauves de Chios.
Le combat s'engagea entre-eux,  et Artémis, comprenant qu'elle serait vaincue par la force d'Orion, demanda à son frère Apollon de lui venir en aide.  A ce moment précis, son coup de talon fendit le sol et libéra un scorpion gigantesque.
 
 
 
Orion abandonna alors Artémis et concentra ses forces sur le scorpion. Son dard était aussi long qu'une épée et ses pinces aussi hautes que la cime des arbres.
 
Ce scorpion venait de tuer Sirius et Procyon.
 
Orion, fou de rage et de douleur d'avoir perdu ses fidèles compagnons, le transperça de son épée en plein cœur.
Avant de s'effondrer sur le sol, le scorpion eut le temps de planter son dard dans le talon d'Orion, lui inoculant son venin mortel.
Orion avait vécu…..
 
Poséidon vint le chercher et pour calmer sa douleur, le métamorphosa en étoiles brillantes que sont : Bételgeuse et Bellatrix, ses deux épaules, Saïph et Rigel, ses deux genoux., et les trois rois mages, sa ceinture à laquelle pend son épée.
 
Orion est la plus belle de toutes les constellations, et sans conteste, le seigneur du Ciel.
 
Artémis, ne voulant pas qu'Orion lui échappe, installa également le scorpion sur la voûte étoilée avec pour mission la poursuite du combat.
 
Mais Zeus, le Dieu des Dieux, intervint afin que la paix règne au Ciel.
 
 
Il fit en sorte que les deux ennemis ne se rencontrent jamais. C'est ainsi qu'Orion illumine le ciel d'hiver avec ses deux chiens et le lièvre, et le scorpion le ciel d'été.
 
Lorsque l'un se lève à l'Orient, l'autre se couche à L'Occident.
 
 
Mais en fait les étoiles de cette constellation ne sont pas toutes à la même distance de nous, voici une vue en perspective.
 
Bételgeuse se situe à 400 années lumière de la Terre, Rigel à 800 années lumières et Alnilam (le Roi Mage du milieu) à 2000 années lumière.
 
C'est dire que si nous étions dans un vaisseau spatial en partance pour les étoiles,, nous aurions largement dépassé Bételgeuse avant d'apercevoir Alnilam, et la constellation d'Orion ne nous apparaîtrait plus du tout sous la forme que nous lui connaissons, depuis la Terre.
 
 
 
 
Alors, soyons curieux. Ce soir, sortons et tournons nos yeux vers Orion.
 
Voici quelques unes des merveilles que l'on trouve dans cette région du ciel.
 
 
La célèbre M 42 , pouponnière d'étoiles
cliché pris par Hubble.
La tête de cheval située à côté de l'étoile la plus à gauche des Rois Mages. Cliché NAOA Kitt Peak.
 
 
 
 
À suivre
 
 
 
 
Très bons sites français sur les constellations : http://www.abm.asso.fr/astroguide/hsconst.htm
Et  http://lamap93.free.fr/cours/lml/constellations.htm
 
Les légendes des constellations : http://mythologica.fr/grec/constellation.htm
 
Le chasseur d'Orion dans le ciel.
 
Un site très clair en anglais sur les constellations : http://bdaugherty.tripod.com/gcseAstronomy/constellations.html
 
La nébuleuse d'Orion.
 
 
 
 
chickens_up.gif
 
 
 
COLUMBUS : LABORATOIRE SPATIAL RACCORDÉ À L'ISS. (28/02/2008)
(Photo : NASA)
 
L'ESA communique sur le grand succès de la mission STS 122 qui avait pour mission de délivrer le laboratoire Columbus à la station spatiale ISS. :
 
 
L'astronaute français de l'ESA vient officiellement de prendre ses quartiers à bord de la Station Spatiale Internationale, en échangeant sa place avec l'astronaute Dan Tani, de la NASA, qui devient membre de l'équipage d'Atlantis.
 
Cet échange a été matérialisé par un transfert qui a eu lieu vers 00h20 CET, dans la nuit de samedi à dimanche, lorsque le siège anatomique de Dan Tani a été ôté du vaisseau Soyouz TMA-11 et remplacé par celui de l'astronaute européen.
 
Le Soyouz sert en effet de vaisseau de secours pour l'équipage permanent et c'est désormais à son bord que devra se rendre Léopold Eyharts en cas de situation d'urgence à bord de la Station.
Dan Tani, quant à lui, reviendra sur Terre avec le reste de l'équipage d'Atlantis, dans huit jours.
Le transfert des sièges, prévu à la mi-journée ce dimanche, a été avancé de 13 heures en raison des modifications du plan du vol liées au report de 24 heures de la première sortie dans l'espace.
 
 
Léopold Eyharts fait donc désormais partie de l'Expédition 16 d'occupation permanente de l'ISS.
Il y officie en tant qu'ingénieur de vol aux côtés de l'Américaine Peggy Whitson, commandant de bord, et de l'autre ingénieur de vol, le Russe Youri Malenchenko. Sa mission consistera à assurer le bon fonctionnement de la Station et des expériences qu'elle abrite.  
 
Premier dans Columbus

C'est à lui aussi que reviendra la responsabilité d'assurer – avec l’assistance des autres membres d’équipage - la bonne installation et l’activation du laboratoire européen Columbus, ainsi que la mise en route de ses équipements et des premières expérimentations à son bord. Cette tâche commencera dès l'arrimage du module, prévu vers 20h00, puisque c'est à lui qu'il incombera d'activer les 16 verrous motorisés qui "boulonneront" Columbus à l'ISS.
Le lendemain, c'est lui aussi qui ouvrira l'écoutille du module européen et sera le premier à pénétrer à l'intérieur. « En tant qu'Européen, c'est un grand honneur d'avoir été choisi pour cette mission aussi importante que symbolique et je n'échangerai pas ma place. Ce sera un moment de grande émotion. » confiait-il avant son départ.
Des copropriétaires très présents
 
Le Canadarm2 transporte le module Columbus de la baie de la navette à sa place au nœud Harmony.
L'astronaute européen Hans Schlegel met en place Columbus pendant une EVA de près de 7 heures (13 Fev 2008)
 
Le laboratoire européen Columbus a achevé son voyage vers la Station spatiale internationale.
Columbus a été officiellement arrimé au module Harmony à 22h44 CET ce lundi 11 Février 2008 soir.

Aux commandes du bras télémanipulateur pour l'extraction et la mise en position finale du module européen, l'astronaute Léopold Eyharts, de l'ESA, a confirmé au contrôle de mission : « le module européen Columbus fait maintenant partie de l'ISS ».
Columbus a été installé au cours de la première sortie extravéhiculaire de la mission STS-122. A l'extérieur de l'ISS, les astronautes Rex Walheim et Stanley Love ont préparé le module pour son installation avant que le bras robotique de la Station ne soit utilisé pour l'amener en position.
 
 

Le Français est le deuxième astronaute de l'ESA à faire officiellement partie de l'équipage de la Station après l'Allemand Thomas Reiter, qui a occupé ces fonctions pendant 159 jours en 2006.
 
Normalement, Léopold Eyharts devrait rester en poste bien moins longtemps puisque sa relève est programmée dès le prochain vol de la navette, pour la mission STS-123 prévue courant mars.
En cas de report de ce vol de navette, il reviendrait sur Terre à bord du Soyouz avec les autres membres de l'Expédition 16, dans le cadre de la relève de l'équipage par l'Expédition 17, prévue en avril.
A partir de l'an prochain et du passage de l'équipage permanent de l'ISS à six membres (répartis entre trois Russes et trois Occidentaux), un astronaute de l'ESA fera partie de cet équipage en moyenne trois mois par an, au prorata de la contribution européenne à la réalisation du complexe orbital. Le reste du temps, les expérimentations européennes à bord de l'ISS se poursuivront sous la supervision et avec l'assistance des astronautes non-européens.
 
 
 
 
L'écoutille entre l'ISS et le laboratoire Columbus est ouverte pour la première fois le mardi 12 février.
 
Léopold Eyharts s'aventure dans Columbus pour la toute première fois afin d'en démarrer l'activation.
On le voit ici qui porte un panneau à l'intérieur du labo, portant les noms de toutes les personnes qui ont contribué à la construction du module.
 
 
 
 
 
 
 
 
 
La navette STS 122 est parfaitement retournée sur Terre ce 20 Février 2008.
En rentrant elle nous donne à voir l'aspect de la station avec son nouveau module laboratoire. (excroissance de couleur bleutée au centre droit de la photo)
 
 
 
 
 
Vous aimez les photos de la navette et des EVA, vous avez raison; voici un site que j'ai trouvé où il y a 12 superbes photos (long à charger).
 
 
 
chickens_up.gif
 
ATV : LE LANCEMENT APPROCHE. (28/02/2008)
(Document EADS/Arianespace)
 
 
Le laboratoire Columbus de l'ESA a été lancé à bord de la navette spatiale Atlantis jeudi 7 février. Il est temps désormais de s'intéresser à ce qui va représenter le prochain événement majeur pour l'ESA : le lancement du Jules Verne, premier véhicule de transfert automatique (ATV) à destination de la Station spatiale internationale (ISS).
 
Une version spéciale du lanceur Ariane-5 va placer sur orbite les 20 tonnes de ce module européen de réapprovisionnement et de remorquage.
Le lanceur, exploité par Arianespace, doit décoller du Port spatial de l'Europe à Kourou (Guyane française) le 8 mars à 1h23 heure locale (5h23 heure de Paris).
 
Dès lors, l’ATV de l'ESA fera partie des véhicules qui ravitaillent la station spatiale, qui y livrent des expériences, des équipements et des pièces de rechange et qui apportent nourriture, air et eau à son équipage permanent.
 
 
 
 
Construit par EADS-Astrium, l'ATV, le plus puissant des vaisseaux spatiaux automatiques jamais construits, livrera jusqu'à 9 tonnes de fret à l’ISS, qui gravite autour de la Terre à une altitude de 400 km.
 
Équipé de ses propres systèmes de propulsion et de navigation, l'ATV est un véhicule spatial multifonction, qui allie les capacités d'un véhicule sans équipage entièrement automatique aux exigences de sécurité d'un véhicule habité. La mission qu'il accomplira dans l'espace ressemblera à celle qui incombe au sol à un poids lourd chargé de livrer des produits et équipements à un laboratoire de recherche.
 
Son système de navigation de haute précision placera l'ATV sur une trajectoire de rendez-vous avec l’ISS. Début avril, grâce à ce système de nouvelle génération, Jules Verne s'amarrera automatiquement au module de service russe de la station après avoir mené à bien un certain nombre d'opérations et de manœuvres spécifiques (journées de démonstration) destinées à établir que le véhicule fonctionne comme prévu en conditions nominales comme en cas d'urgence.
 
Pressurisé, l'ATV fera partie intégrante de l’ISS à laquelle il restera amarré jusqu'à six mois d'affilée avant d'entamer une descente contrôlée dans l'atmosphère terrestre où il se consumera – et avec lui 6,3 tonnes de déchets et équipements devenus inutiles à bord de la station.
 
(comparaison ATV et vaisseau russe Progress).
 
(tiré de la documentation ESA)
 
 
 
Les photos du placement de l'ATV dans la coiffe d'Ariane.
 
 
 
 
Alors croisons les doigts pour le lancement.
 
 
 
 
chickens_up.gif
 
 
CASSINI TITAN : LES LACS DE TITAN, LE FILM! (28/02/2008)
(Photos : NASA/JPL/)
 
 
D'après les dernières données de Cassini, Titan possède beaucoup plus de réserve d'hydrocarbures que la planète Terre.
Il en pleut et se déposent dans des lacs et des dunes.
 
C'est ce que vient de publier dans le Geophysical Research Letters. notre ami Ralph Lorenz de l'équipe de l'instrumentation de Cassini (il a mis au point notamment le pénétromètre de Huygens vous vous en souvenez); il fait partie du célèbre JHUAPL.
 
C'est une immense usine de chimie organique.
Sa température moyenne est de –180°C et les produits à base de H et C liquides (méthane, éthane …) remplacent l'eau de notre planète, des tholins (c'est le nom qui avait été donné par Carl Sagan. ce sont des matériaux organiques complexes prébiotiques.) constituent probablement les dunes.
 
Cassini a déjà imagé plus de 20% de la surface de Titan au radar; des centaines de lacs et de mers ont maintenant été mis au jour qui sont supposés contenir beaucoup plus de hydrocarbures que toutes les réserves du monde.
C'est quand même un peu loin pour aller les chercher.
 
Les plus grandes réserves d'hydrocarbures sur Titan sont situées dans deux types de régions : les lacs et les dunes.
 
 
Vue d'artiste des lacs de Titan (crédit :Steven Hobbs).
 
 
 
Tout ceci est basé sur un certain nombre de suppositions, notamment que l'hémisphère sud contienne autant de lac que le nord; la profondeur des lacs a été aussi estimée comme on le fait sur Terre etc..  Plusieurs lacs sont d'ailleurs certainement plus profond que 10m d'après les données radar, car on ne détecte pas le fond.
 
 
 
 
Il est important de savoir la quantité de liquide présente sur Titan, non pas pour aller les chercher, mais car le méthane est un puissant gaz à effet de serre (pensez à nos vaches!). si tout ce que l'on voit dans les lacs est du méthane, il durerait quelques millions d'années, car en s'évaporant il est dissocié dans l'atmosphère et s'échappe dans l'espace.
Si le méthane disparaissait, Titan deviendrait encore plus froid (moins d'effet de serre), le méthane étant toujours présent, c'est qu'il y a une source, les scientifiques pensent que cela provient du cryovolcanisme interne.
 
 
 
Le JPL et la NASA mettent à notre disposition un film en format Quick Time de 70MB et de 3 minutes assez extraordinaire de survol de la région des lacs.
 
Ce film nous montre après l'explication du survol de Cassini au dessus de Titan, des images détaillées des lacs près du Pôle Nord de Titan découverts dès Juillet 2006.
 
Cette vidéo haute définition nous offre un voyage comme le radar de Cassini l'a effectué, il combine les divers survols effectués pendant 22 Juillet 2006 (T16); 23 Septembre 2006 (T18); 9 Octobre 2006 (T19) et 22 Février 2007 (T25).
On voit bien les interconnexions entre les lacs, la couleur bleue est là pour aider à l'interprétation et n'est pas la couleur "naturelle".
 
La résolution du radar va de 300m à 1000m sur le terrain.
 
 
 
Le monde de Titan sur votre site préféré.
 
 
 
 
 
chickens_up.gif
 
 
 
UN SITE INTERNET À DÉCOUVRIR :.JALLE ASTRONOMIE. (28/02/2008)
(ce paragraphe est le votre si vous avez un site astro à nous faire connaître, n'hésitez pas à nous contacter)
 
L'association Jalle astronomie vient d'ouvrir un espace communautaire destiné aux astronomes amateurs, cette plateforme a pour but de partager et d'échanger des photos d'astronomies.
Cette plateforme ouverte à tout les clubs et aux astronomes indépendants gratuitement...
 
 
http://www.jalle-astro.fr/espace_photos/tt_photo.php
 
Les fonctionnalités de la plateforme :
 
Voir l'ensemble des photos présentent : elles sont classées par dossiers (amas globulaires, amas ouverts, objets de Messier, nébuleuses et étoiles, les planètes, le soleil, la lune, les éclipses, les comètes, lever et coucher…(soleil, lune …), phénomènes astro, divers).
 
Recherche de photos via un formulaire : la recherche est basée sur les titres des photos.
 
Recherche des photos récemment postées  : affiche toutes les photos postées il y a moins de 15 jours.
 
Ajouter des photos  : cette opération est faite via un formulaire. L'auteur doit renseigner plusieurs champs : le titre, commentaire et la catégorie dans laquelle la photo sera classée. Seules les photos jpg de moins de 120 ko seront acceptées.
 
Validation des photos  : Une photo venant d'être ajoutée sur la plateforme n'est pas directement visible. Pour que celle ci le soit, il faut qu'un administrateur l'ai validée.
 
Ajout de commentaires aux photos : permet d'ajouter un commentaire, une remarque, réflexion, réagir par rapport a un autre commentaire etc…lié à une photo.
 
Inscriptions : cette étape est indispensable pour pouvoir ajouter des photos ou commentaires sur cette plateforme
 
Rechercher les photos d'un auteur  : affiche toute les photos d'un auteur
 
Écrire un mail à un auteur  : les internautes peuvent directement écrire un mail à l'auteur.
 
Noter les photos  : chaque internaute pourra évaluer la qualité de la photo en lui attribuant une note de 1 à 10.
 
Affichages et classement des 8 meilleurs photos (top 8) : ceci est automatique, cette opération est effectuée via un algorithme prenant en compte le nombre de visites, le nombre de votes et la note des photos.
 
 
 
 
 
chickens_up.gif
 
 
PHOTOS D'AMATEUR : LES PLÉIADES VUES PAR DANIEL MAGARIAN (28/02/2008)
 
 
Cette image en basse résolution n'est qu'un pâle reflet de l'image originale (4MB) prise par Daniel Magarian de l'amas des Pléiades ou
M 45.
 
 
Détails techniques de la photo :
 
80ED avec Canon 350D à 800 ISO
10 poses de 5 minutes
Traitement IRIS et Photoshop.
 
 
 
 
 
Les Pléiades, les 7 filles d'Atlas (mythologie grecque), sont un amas ouvert d'étoiles situées dans la constellation du Taureau.
 
Les 9 étoiles les plus visibles correspondent aux 7 sœurs et à leurs parents.
 
Ces étoiles étaient un test de bonne vision pour les archers dans l'Antiquité (comme l'étoile double de la Grande Ourse).
 
 
Tout sur M 45.
 
 
chickens_up.gif
 
 
LIVRE CONSEILLÉ.:.LA TERRE INTERNE CHEZ VUIBERT (28/02/2008)
 
 
La Terre est une planète aussi, donc nous devons en parler, comprendre la Terre c'est comprendre les autres mondes.
 
C'est le but de ce livre, La Terre interne, roches et matériaux en conditions extrêmes publié chez Vuibert sous la direction de Patrick DE WEVER par Denis ANDRAULT, Fabrice BRUNET, et Gilles CHAZOT
 
En voici le sommaire :
 
1. Formation et structure de la Terre : les notions de base [Formation et composition de la matière terrestre - La composition chimique de la Terre silicatée - Dynamique et structure interne - Pressions et températures à l’intérieur du globe et comportement des matériaux terrestres].
2. Nature de la Terre profonde sous l’angle de la pétrologie [Les péridotites en enclaves : une fenêtre ouverte sur le manteau supérieur - Massifs orogéniques et complexes ophiolites : le manteau supérieur grandeur nature  Interactions fluides-manteau : le metasomatisme - Convergence lithosphérique et zones de subduction : l’appel des profondeurs].
3. Les matériaux constitutifs de la Terre interne sous les angles de la physico-chimie et de l’expérimentation [ Le modèle pyrolitique moyen - Minéralogie des plaques subduites dans le manteau profond - Relations entre le manteau et le noyau]
Glossaire. Bibliographie. Index.
 
 
Texte de la quatrième de couverture :
 
L’important effort de recherche tourné vers la surface du globe – parce que c’est l’environnement dans lequel évolue l’espèce humaine – tend à masquer les récentes avancées scientifiques concernant, elles, la constitution et le fonctionnement de la Terre interne.
Voici un ouvrage qui fait le point sur ce que nous savons aujourd’hui de la composition, de la minéralogie et de la formation des enveloppes profondes de la Terre. Les auteurs nous montrent comment – au travers d’approches forcément pluridisciplinaires – la recherche dans ce domaine s’apparente à un véritable travail de détective.
On ne devra donc pas être étonné si la première partie de cet ouvrage traite à la fois de cosmochimie, de géochimie, de géophysique, de pétrologie et de physique des matériaux.
 
Une fois les bases et le vocabulaire posés, c’est avec la seconde partie que commence véritablement le voyage vers le centre de la Terre. On y apprendra que la Terre interne n’est pas aussi inaccessible qu’on pourrait le croire
En effet, les roches à l’affleurement recèlent de précieux témoins des profondeurs que les auteurs nous apprennent ici à déchiffrer : des minéraux profonds, habituellement inaccessibles à l’observation directe, sont formés et préservés dans certaines météorites soumises à d’intenses chocs ; dans des cas extrêmement rares, des inclusions s’étant produites à près de 700 Km de profondeur au cours de la croissance de diamants sont devenues accessibles en surface.
 
La troisième partie complète l’approche « naturaliste » par le point de vue de la physico-chimie des matériaux sous pression et température. Abondamment étayée par les données de l’expérimentation en conditions toujours plus extrêmes, cette dernière partie nous conduira aux confins du manteau terrestre, jusqu’à la fameuse couche D’’, en plus d’une petite
 
 
 
C'est un excellent livre pour comprendre ce qui se passe……sous nos pieds!!!
 
 
Dans le même genre et chez le même éditeur, en complément au livre précédent, ce petit ouvrage dans la même collection sur :
La mesure du temps dans l'histoire de la Terre.
 
Vous saurez comment dater les roches terrestres et surtout comprendre la datation radioactive.
 
Sommaire :
 
I.Temps de l’Homme, temps de la Terre
Qu’est-ce que le temps ? - Du calendrier à la montre - L’appréhension du temps - Le temps stratigraphique : un temps rabouté - Le temps compté - Une approche expérimentale de l’âge de la Terre - Le XIXe siècle, temps des grandes incertitudes - La radiochronologie
II. La datation relative
Problèmes posés par la mesure du temps - Comment situer les événements les uns par rapport aux autres : rapports géométreique ; superposition ; recoupement ; inclusion ; filiations ; métamorphisme ; érosion - Des repères indépendants :
les cendres volcaniques - Comment dater les événements récurrents : cycles ; magnétostratigraphie ; biostratigraphie
III. La datation absolue
Rutherford : une annonce ménagée. Datation absolue : un mot bien relatif !
- La datation au Carbone 14 : une mesure suffit-elle ? le 14C de la pyramide de Zoser ; différentes désintégrations nucléaires ; comment mesurer la teneur actuelle en 14C - Plusieurs mesures pour un âge : la méthode Rb-Sr - Plusieurs méthodes pour le couple K-Ar - Fermeture d’un système et notion de température de blocage
IV. Durée et vitesse des phénomènes géologiques
Oser le temps long ? - Phénomènes dont la durée et la vitesse sont directement mesurables : phénomènes rapides ; séismes ; courants de turbidité ; phénomènes lents ; vitesse de déplacement des plaques ; variations lentes du niveau moyen
des mers ; El Niño - Phénomènes dont la durée et la vitesse ne sont pas directement mesurables : vitesse de déplacement des plaques dans le passé géologique ; datations radiométriques ; échelle numérique des temps géologiques ; échelle des inversions magnétiques ; croûte continentale enfouie - Succession de phénomènes et géochronologie isotopique : biochronologie ; rythmostratigraphie.
Bibliographie - Glossaire - Index - Cahier hors-texte tout en couleurs
 
 
 
 
 
 
chickens_up.gif
 
 
 
 
LES MAGAZINES CONSEILLÉS :.CIEL ET ESPACE DE MARS EST PARU. (28/02/2008)
 
 
Particulièrement intéressant ce mois ci sont les articles sur l'énergie sombre et Pythagore.
 
De même à la fin du magazine vous apprendrez facilement pourquoi tout tourne dans l'Univers.
 
 
 
 
 
 
 
 
Au sommaire de ce numéro
 
Où est tombée la météorite du 25 janvier ?
Philippe Henarejos, Pierre Lagrange
Des dizaines de témoins ont assisté à sa chute, vendredi 25 janvier, quelque part dans la moitié sud de la France. Et pourtant, après une “battue” organisée dans les environs de Bourges, et des recherches étalées sur plusieurs jours, la météorite restait introuvable. Ciel & Espace a mené l’enquête en s’appuyant sur les travaux de Dominique Caudron, un amateur qui a patiemment recoupé les témoignages.
Mercure : Nouvelles images, nouvelles énigmes
Philippe Henarejos
Un monde unique, différent de la Lune, contrairement à l’image qu’en avaient les scientifiques. Tel est le portrait qui se dessine de Mercure après son survol par la sonde Messenger, le 14 janvier. Et pour cause, de nombreux clichés confirment que la planète, il y a très longtemps, a connu un phénomène étonnant : elle a rétréci !
Découverte : Des étoiles naissent en dehors des galaxies
Émilie Martin
On le soupçonnait depuis plusieurs décennies. C’est désormais prouvé : des étoiles peuvent apparaître et mener leur existence en dehors des galaxies. Ainsi, dans l’Univers, 2 % des étoiles naissent orphelines.
Univers : Un vide se comble, un mystère se creuse
David Fossé
La bulle de vide de 1 milliard d’années-lumière de diamètre, annoncée en août 2007, se dégonfle. Présentée comme la solution à une pesante énigme cosmologique par des chercheurs américains, elle apparaît comme bien peu probable. De quoi redonner la main à d’autres hypothèses… moins spectaculaires.
Une Terre glacée se cache-t-elle au-delà de Pluton ?
Julien Bourdet
Deux astronomes l’affirment : une neuvième planète de la taille de la Terre se dissimule aux confins du Système solaire. Dans six ans, les télescopes de nouvelle génération pourraient la faire sortir de l’ombre — si elle existe…
Energie sombre : Le grand défi des cosmologistes
Stéphane Fay
L’énergie sombre est née en 1998 pour expliquer l’observation de l’accélération de l’expansion de l’Univers. Mais, dix ans après, sa nature réelle nous échappe toujours. La découvrir constitue l’un des grands enjeux de la cosmologie actuelle. Ce mois-ci, Ciel & Espace fait le point sur le foisonnement de théories et d’expériences chargées d’explorer l’ingrédient le plus mystérieux du cosmos.
Rencontre avec l'astrophotographe David Malin : Impressionnant, la photo numérique !
Émilie Martin
Le numérique a révolutionné l’imagerie de l’Univers. David Malin, qui a fait toute sa carrière d’astrophotographe professionnel en argentique est enthousiaste au vu de ce changement radical.
La loi de Titius-Bode : Une curiosité qui a survécu à la science
Raphaël Chevrier
Voilà plus de 200 ans, la loi de Titius-Bode entendait prévoir la position des planètes dans le Système solaire. Malgré les découvertes qui l’ont mise à mal, elle a traversé les âges de la science sans trop de rides. Au point que certains chercheurs s’y intéressent encore.
Pythagore, l'oublié de l'héliocentrisme
Henriette Chardak
L’auteur du célèbre théorème est l’un des pères de l’héliocentrisme. Près de 2 000 ans avant Copernic, Pythagore pensait que la Terre était ronde, qu’elle tournait sur elle-même et autour du Soleil. Mais l’histoire a choisi de l’oublier ! L’écrivain Henriette Chardak, qui vient de lui consacrer un livre, L’énigme Pythagore, nous présente ce génie de l’Antiquité.
Marathoniens, à vos télescopes
Jean-Luc Dauvergne
Mars est le mois du désormais célèbre marathon de Messier. Il s’agit de voir en une seule nuit la totalité des objets du ciel profond catalogués par l’astronome que Louis XV surnommait le “furet des comètes”.
Pourquoi tout tourne dans l'Univers ?
Capucine Casati
Des astéroïdes aux amas de galaxies, tous les corps qui peuplent l’Univers tournent. Soit autour d’autres corps, soit sur eux-mêmes. La raison ? La gravitation, plus deux ou trois petits ingrédients.
 
 
 
 
 
 
chickens_up.gif
 
 
 
Bonne Lecture à tous.
 
 
 
 
C'est tout pour aujourd'hui!!
 
Bon ciel à tous!
 
JEAN PIERRE MARTIN
 
 
Astronews précédentes : ICI