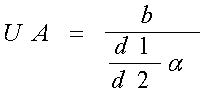
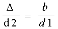
d2
d1
A’
B
b
D
V
A
B’
Terre
a
Soleil
70