Mise à jour le 14 Septembre 2014
CONFÉRENCE
«DE PLANCK À EUCLID, LES GRANDES STRUCTURES DE L’UNIVERS»
Par Francis BERNARDEAU, Astrophysicien, Directeur de l’IAP.
Organisée par l'IAP
98 bis Bd Arago, Paris 14ème
Le Mardi 9 Septembre 2014 à 19H30
Photos : JPM. pour l'ambiance (les photos avec plus de résolution peuvent m'être demandées directement)
Les photos des slides sont de la présentation de l'auteur. Voir les crédits des autres photos
Vidéo de la conférence par Canal U (ce n’est plus le CERIMES) disponible sur leur site quelques jours après (Canal U propose aussi toutes les vidéos des conférences IAP) :
Voir : http://www.canal-u.tv/auteurs/institut_d_astrophysique_de_paris_iap/videos#element_2
BREF COMPTE RENDU


Francis Bernardeau est Directeur de l’IAP depuis le 1er Janvier 2014, c’est un physicien théoricien qui a passé sa thèse en 1992 à Saclay (sur les structures de l’Univers).
Il nous parle ce soir justement de ce sujet et du lien entre les différents composants de l’Univers.
HISTORIQUE.
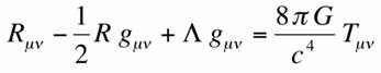
Il commence par la partie historique : Newton et ses Principia, la loi d’attraction universelle, puis Einstein et la relativité générale (RG) en 1915, où il établit un lien entre géométrie de l’Univers et son contenu.

Sur cette vieille locomotive, on voit inscrit la célèbre formule d’Einstein de la RG.
Le terme de gauche étant lié au contenu et celui de droite à la trame de l’Univers. Einstein ajouta plus tard la fameuse constante lambda pour rendre « son » univers stationnaire.
Vers les années 1930, il apparait que l’Univers est en expansion, mais c’est une réalité dure à admettre ; on commence à élaborer différents modèles cosmologiques.
La mécanique quantique commence à se développer. On découvre théoriquement les neutrinos qui ne seront effectivement mis au jour qu’en 1956.
On comprend le mécanisme du rayonnement solaire et des étoiles que l’on classifie (diagramme HR).
L’UNIVERS EST UN OBJET PHYSIQUE.
Le bruit de fond cosmologique (CMB) prédit par le facétieux Gamov en 1948 est découvert en 1965 et sera observé de plus en plus finement avec des sondes spatiales : COBE ; WMAP et Planck.
On commence à comprendre l’histoire de l’Univers.

On voit ci-contre le spectre de tout le rayonnement électromagnétique de l’Univers.
En vertical : la quantité de rayonnement
En horizontal la longueur d’onde, plus c’est énergétique et plus c’est vers la droite.
Toutes les échelles sont logarithmiques.
Le plus intense après le CMB (à gauche) est le fond IR (FIB).

Dans les années 1980 on commence à observer les grandes structures de l’Univers.
Les galaxies et amas de galaxies ne sont pas répartis au hasard, il y a des vides et des zones de forte densité.
Voir le 2dF survey.
À la fin des années 1980, on ne connait pas encore bien les paramètres cosmologiques ; les différentes sondes spatiales vont nous aider à les déterminer.
Notamment Planck lancé en 2009 qui va nous donner une image très précise de ce CMB et de l’instant où ces photons se sont enfin propagés, c’était 380.000 ans après le Big Bang. C’était l’instant où les gamma ont interagi avec la matière, ce que l’on appelle la surface de dernière diffusion.
C’est le moment où l’Univers s’est refroidi suffisamment pour que les protons et les électrons puissent se combiner pour former un atome d’hydrogène neutre.
Cette surface dont la représentation est maintenant bien connue, comporte d’infimes variations de température (et donc de densité) qui vont donner naissance aux structures actuelles.
F Bernardeau emploie une image très parlante pour nous expliquer ce que l’on voit du CMB : une harpe qui vibre au vent.
|
|
|
|
La vibration dépend de la structure de l’instrument (le timbre) ; on a aussi une information sur le joueur de harpe (ici le vent). |
On peut décomposer en fréquences le signal du CMB ce qui donne le diagramme de puissance bien connue. |
|
|
|
|
Toutes ces informations permettent à l’aide de recoupement de déterminer la composition de l’Univers à l’époque de l’émission du CMB, alors que l’Univers était âgé de 380.000 ans. |
Mais après, que devient cette composition avec l’expansion de l’Univers et la découverte de l’accélération de cette expansion ? un univers dominé par une force inconnue : l’énergie noire. |
La mission Euclid (lancement prévu en 2020) devrait nous permettre de comprendre ce phénomène d’accélération de l’expansion.
LES QUESTIONS POSÉES.
Quelle est la nature de l’énergie noire ? Constante cosmologique, nouveau fluide, nouvelle gravité… ?
Quelle est la nature de la matière noire ? Super symétrie ? Masse des neutrinos ?....
Origine du champ de Higgs (la phase liée à l’inflation) ?
Y-a-t-il encore des particules « élémentaires » à découvrir ? Peut-on en élaborer une théorie consistante ?
Peut-on unifier la théorie quantique des champs et la relativité (les cordes) ?
Nouveaux collisionneurs ? Nouveaux satellites ?
POUR ALLER PLUS LOIN :
Matière et énergie noires : CR de la conf. de N Palanque Delabrouille à l’IAP le 5 Avr 2011
Cosmologie et gravitation par N Deruelle IHES le 8 Novembre 2005 à l'IAP
L’Univers vu par Planck : CR de la conférence SAF de F Bouchet du 9 Octobre 2013
Mesure de la polarisation du CMB : CR de la conf SAF (Cosmo) de M. Piat du 15 Mars 2014
Les grandes structures de l'Univers : CR de la conférence de V de Lapparent à la SAF du 14 Fev 2008
Champ de Higgs et origine de la matière : CR de la conf. SAF d’Yves Sirois du 11 Sept 2013
Euclid, et énergie sombre : CR de la conf SAF (Cosmologie) de Y Mellier du 19 Janv 2013
L’espace, le temps et l’espace-temps : CR de la conf. SAF de M. Lachièze-Rey du 14 dec 2011
Bon ciel à tous !
Jean Pierre Martin .Commission de Cosmologie de la SAF.
Abonnez-vous gratuitement aux astronews du site en envoyant votre nom et e-mail.