

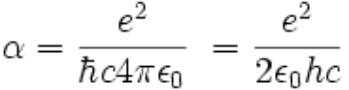
Mais
comment peut-on détecter une telle variation ?
|
|
Encore
un brillant succès pour nos amis de la NASA
du Maryland (Bravo Mike et Lucy !), leur
mission EPOXI (en fait un nouveau nom pour ce qui reste de la mission
Deep Impact qui avait impactée le noyau de la comète Tempel-1 il y a
quelques temps) vient de survoler la
comète 103P/Hartley-2 ce 4 Novembre 2010. comète périodique (comme
son P l’indique) de 6 ans.
Illustration
du principe des
lentilles gravitationnelles :
Pour
la première fois, les chercheurs ont pu observer de grandes portions du
ciel dans le domaine des longueurs d'onde submillimétriques, ce qui a
permis de détecter ces lentilles gravitationnelles.
« Si
le Soleil se trouvait au cœur de ce remarquable amas, notre ciel nocturne
serait rempli de centaines d’étoiles aussi brillantes que la pleine Lune » dit
Ben Ritchie, le premier auteur de l’article scientifique présentant ces résultats.
En
effet, les données de l’expérience TEGA (Thermal
and Evolved Gas Analyzer) le four permettant l’analyse
|
|
|
|
|
|
|
|
|
|
|
|

Le
temps n'est peut-être pas une entité fondamentale. D'après certains
physiciens, il pourrait émerger à notre perception dans le cadre d'un
monde parfaitement statique.