LES ASTRONEWS de
planetastronomy.com:
Mise à jour : 10 Décembre 2020
Conférences et Évènements :
Calendrier
.............. Rapport
et CR
Prochaine conférence SAF.. LES CONFÉRENCES MENSUELLES D’ASTRONOMIE DE LA SAF NE
SE TIENNENT QU’À « DISTANCE » JUSQU’À NOUVEL ORDRE À CAUSE DE LA DÉTÉRIORATION
DE LA SITUATION SANITAIRE.
La Prochaine : le mercredi 13 Janvier 2021 19H00
C.
Rinner et M.Ory astronomes amateurs et chasseurs d’astéroïdes et de
comètes, nous parlent du « Télescope
automatique MOSS » et de ses résultats.
Transmission en direct sur le canal YouTube de la SAF :
https://www.youtube.com/channel/UCD6H5ugytjb0FM9CGLUn0Xw/videos
Astronews précédentes :
ICI
dossiers à télécharger par ftp :
ICI
ARCHIVES DES ASTRONEWS
: clic sur le sujet désiré
:
Astrophysique/cosmologie
;
Spécial Mars ;
Terre/Lune
;
Système solaire ;
Astronautique/conq spatiale
;
3D/divers
;
Histoire astro /Instruments ;
Observations
;
Soleil
;
Étoiles/Galaxies ;
Livres/Magazines ;
Jeunes /Scolaires
Certains peuvent recevoir en double ces news, car ils sont inscrits sur
plusieurs listes. J’en suis désolé.
Les comètes :
CR de la Commission des comètes avec N Biver du 21 Novembre 2020
Nomination :
F Bouchet Directeur de l’IAP
Starship
:.Partira, partira pas, partira, Boum !!
Neutrinos :
Borexino détecte ceux du cycle CNO du Soleil !
Hayabusa 2 :
Retour sur Terre réussi !
Chang’e-5 :.Un
sans-faute jusqu’à présent !
Gaia :
Nouvelles données publiées.
Cste de structure fine :
Sa mesure a été grandement améliorée !
Le Soleil :.Une
superbe image d’une tache solaire avec le DKIST.
SOHO :
25 ans et toujours vaillant.
Livre conseillé
:.Lumières de J Audouze, C. Subran et M. Menu.
NOMINATION : FRANÇOIS BOUCHET DIRECTEUR DE L’IAP.
Nous sommes très heureux d’apprendre la nomination à partir du 1er
Janvier 2021 de François Bouchet en tant que Directeur de l’IAP (Institut
d’Astrophysique de Paris). Il remplace Francis Bernardeau.
|
|
|
Crédit photos : JPM.
François que nous connaissons bien, il nous a donné de nombreuses conférences à
la SAF, est diplômé de l’ESPCI (École supérieure de physique et chimie de la
Paris) et Docteur en sciences physiques de P et M Curie.
Directeur de recherche au CNRS, il travaille à l’IAP, et devient un spécialiste
de la cosmologie et des grandes structures.
Il s’est très tôt intéressé au bruit de fond cosmologique (CMB), ce qui l’a
poussé à participer de très près à la mission Planck de l’ESA.
Il est responsable de l’instrument HFI de Planck et a aussi en charge le
traitement des données de la mission.
Cette nomination est amplement méritée et nous nous en réjouissons tous.
Bonne chance, François !
À l’occasion de cette nomination, François donnera la prochaine conférence de
l’IAP le mardi 5 Janvier
2021.
Son titre : « La cosmologie aujourd'hui : réponses et questions »
En direct sur le YouYube de l’IAP.
STARSHIP : PARTIRA, PARTIRA PAS, PARTIRA, BOUM !!
Cela fait longtemps que l’on attende le lancement jusqu’à 15 km d’altitude de la
super fusée Starship d’Elon Musk.
On a eu droit à une répétition des moteurs, puis le 8 décembre 2020 le lancement
qui s’est arrêté à UNE
SECONDE du décompte final -je n’avais jamais vu cela !).
Bref, on attend aujourd’hui 9 décembre 2020 le lancement pour de vrai du
« château d’eau volant » !
|
|
|
|
Le SN8 avant son faux départ le 8 dec 2020, arrêt du countdown à – 1
sec ! (crédit Spacex) |
|
Et enfin le décollage ce 9 Décembre 2020 de ce lanceur (type SN8) de 50 m de
haut, en principe la base des futurs vols SpaceX vers la Lune et Mars.
Tout semble bien se passer pendant la montée jusqu’à approximativement 12.000 m
d’altitude, passe en position horizontale comme prévu, puis de nouveau en
vertical, mais la
vitesse est trop importante à l’atterrissage, la fusée explose au sol.
|
|
|
|
|
Envol de SN8, atterrissage à trop grande vitesse et explosion au sol
(photos d’écran SpaceX) |
||
Une autre vidéo :
https://twitter.com/i/status/1336812490043187200
Néanmoins, il semble que
les équipes soient satisfaites du vol et que le problème ait été détecté
(manque de pression sur les moteurs).
Toutes les données serviront au
prochain test avec le
SN9 nous annonce Elon Musk.
Son commentaire après ce vol : MARS, HERE WE COME !! (Mars nous voici !!).
POUR ALLER PLUS LOIN :
SpaceX to attempt major Starship SN8 prototype test flight Tuesday. Here's how
to watch live.
SpaceX’s Starship aborts test flight moments before liftoff
SpaceX aborts Starship SN8 prototype test launch at last second
Le prototype de SpaceX a volé... et s'est écrasé
SpaceX's Starship SN8 prototype soars on epic test launch, with explosive
landing
SpaceX Starship SN8 explodes after first successful high-altitude flight
LE SOLEIL :
UNE SUPERBE IMAGE D’UNE
TACHE SOLAIRE AVEC LE DKIST
Le
Télescope solaire Inouye
(DKIST son petit nom), construit sur l’Ile de Maui à Hawaï à 3000 m d’altitude,
est un télescope solaire de 4,2 m, unique, le plus grand télescope solaire au
monde. Il est équipé d’une optique adaptative.
Ses images sont très fines, on peut discerner des
détails de l’ordre de 20
à 30 km.
Son
dernier (et premier) exploit : une superbe
tache solaire
avec toutes ses cellules de convection et la structure grain de riz. Les
cellules sont l’ordre du millier de km.
Voici la première tache solaire photographiée le 28 Janvier 2020 par cet
observatoire.
On se rend compte du bouillonnement de surface des gaz chauds dû au champ
magnétique.
Image prise dans les 530 nm (vert/jaune) mais recolorisée en couleur jaune.
Crédit : NSO/AURA/NSF
POUR ALLER PLUS LOIN :
Inouye Solar Telescope Releases First Image of a Sunspot
par la NSO
Daniel K. Inouye Solar Telescope
SOHO : 25 ANS ET TOUJOURS VAILLANT !
Eh oui ! Notre observatoire solaire SOHO (SOlar and Heliospheric Observatory) a
25 ans, un quart de siècle et toujours en état de fonctionner, il était prévu
pour un fonctionnement de deux ans ! Beau succès !
Satellite (construit par Matra cocorico !) exploité par la Nasa et l'Esa, il a
une très intéressante orbite : il tourne
perpendiculairement au
plan des planètes et autour du point de Lagrange L1 du système
Terre-Soleil (point où l'attraction du soleil et de la terre se balancent à peu
près, situé approximativement à 1,5 Million de km de la Terre côté Soleil bien
sûr). Cette trajectoire originale a été choisie car c'est la seule qui permet de
voir 24 heures sur 24 le soleil, en effet les autres satellites d'étude du
soleil étaient en orbite autour de la terre qui obstruait périodiquement le
soleil. Cela permet donc d'avoir en permanence des infos sur notre astre du jour
(et de la nuit car il est aussi là la nuit !), il est aussi en avance d'une
heure sur le vent solaire qui va nous atteindre. Lancement le 2 dec 1995.
SOHO possède une
douzaine d'instruments pour étudier le Soleil notamment :
MDI : Michelson Doppler Imager pour voir le soleil dans le visible.
EIT : Extreme UV Imaging Telescope
LASCO C2 (le C1 est mort !) : Large Angle Spectrometer Coronagraph (rouge) angle
normal
LASCO C3 : Large Angle Spectrometer Coronagraph (bleu) grand angle
SWAN : Solar Wind Anisotropies pour voir la face "cachée" du soleil.
SOHO est aussi un grand
chasseur de comètes, La grande majorité de ces découvertes est due au LASCO (Large
Angle and Spectrometric Coronagraph), le coronographe à bord de SOHO. C’est le
rond autour du Soleil et masquant celui-ci que l’on remarque sur les photos.
Il y a deux coronographes à bord de SOHO, le C2 (images
rouges)
et le C3 (images
bleues)
possédant un plus grand angle.
Une vidéo des 4 plus belles comètes découvertes par SOHO.
Sa 4000ème comète
découverte en Juin 2020.
Les chiffres associés à SOHO ; Crédit : ESA.
Ses missions principales étaient :
·
L’étude de la dynamique et de la structure interne du Soleil
·
Trouver pourquoi la couronne solaire est beaucoup plus chaude que la surface
·
L’étude du vent solaire et comment ses particules sont accélérées.
Une des dernières éjections de masse coronale (CME du 29 nov 2020) enregistrée
par SOHO
à voir ICI.
C’est l’étude de ces CME qui a donné naissance au concept de
météorologie spatiale
(Space Weather), qui annonce à l’avance les perturbations de notre étoile et ses
possibles conséquences sur la Terre.
On se souvient que les CME émettent des millions de tonnes de particules à des
vitesses énormes. Si celles-ci atteignent notre planète, des dysfonctionnements
électriques peuvent se produire mettant ainsi en danger de nombreuses
installations et même de satellites en orbite.
Une collection des plus belles CME vues par SOHO sur cette vidéo :
Lorsque l’image est remplie de particules (des protons très énergétiques), cela
signifie que la CME est dirigée vers SOHO et impacte ses instruments. Merci à
SOHO/LASCO (ESA & NASA) - Brendan Gallagher (NRL) pour la compilation.
Mais la vie de SOHO n’a pas toujours été un long fleuve tranquille, deux ans et
demi après son lancement, perte de contact, ce n’est qu’après de nombreux
efforts techniques que la mission peut reprendre.
Bientôt, ses trois gyroscopes tombent en panne, des modifications logicielles
vont permettre à la sonde de fonctionner sans gyroscopes !
Bravo à tous les techniciens qui travaillent sans cesse sur ce merveilleux
engin, ils attendent tous le 30éme anniversaire !!!
POUR ALLER PLUS LOIN :
SOHO’s pioneering 25 years in orbit
SOHO: 25 years of solar imaging
Soho a 25 ans : ses plus grandes découvertes et ses plus belles images
Le vaisseau SoHO fête ses 25 ans : connaissez-vous bien la mission de
l’observatoire solaire ?
SOHO's pioneering 25 years in orbit
La mission SOHO chez eo-portal.
NEUTRINOS : BOREXINO DÉTECTE CEUX DU CYCLE C NO DU SOLEIL !
Rappel :
Comme toutes les étoiles, notre Soleil, est une énorme boule de gaz (H et He)
dont la température centrale atteint une quinzaine de millions de degrés,
permettant ainsi le déclenchement des réactions nucléaires, et favorisant ainsi
la fusion de l’Hydrogène qui produit des éléments plus lourds.
À cette occasion des particules longtemps étranges et difficiles à détecter sont
émises : les neutrinos.
En effet lors de la fusion, des photos de haute énergie (rayonnement
électromagnétique de masse nulle, de purs grains d’énergie) sont produits ainsi
que ces fameux neutrinos.
Ces photons gamma interagissent avec les atomes du Soleil, si bien qu’ils
sont ralentis
progressivement avant d’atteindre la surface et de nous éclairer, entre temps
ils ont changé de fréquence, ils émettent dans le visible, d’où la couleur du
Soleil.
Il leur faudra des centaines de milliers d’années pour sortir enfin du cœur
solaire.
Mais ce n’est pas le cas des
neutrinos,
particules très peu massives et interagissant pour ainsi dire pas avec la
matière, ils sont émis
presque immédiatement à une vitesse proche de celle de la lumière.
Les premiers neutrinos solaires ont été détectés dans les années 1960 (voir tous
les exposés donnés sur ces étranges particules).
Le processus de fusion de l’Hydrogène en Hélium est connu depuis moins d’un
siècle (Von Weizsäcker et H Bethe).
Il se base principalement dans la fusion que l’on appelle le
processus pp, qui
se résume (mais en fait plus complexe) en la transformation de 4 protons en un
noyau d’Hélium (particule alpha). C’est le processus majoritaire de fusion de
notre Soleil (et des étoiles moyennes).
Mais ce n’est pas le seul, il existe un processus plus complexe, appelé
cycle CNO
(Carbone, Azote, Oxygène) dominant dans les étoiles massives mais qui représente
approximativement 1% de la fusion de notre Soleil (processus pp 99%).
L’Hydrogène y est aussi transformé en Hélium mais en utilisant C, N et O.
Cette réaction étant rare et ses neutrinos moins énergétiques que pour la
réaction pp, on n’avait pas réussi à les détecter de notre Soleil jusqu’à
présent.
Illustration : CC BY-SA 3.0
Mais la détection de neutrinos fait des progrès et les détecteurs deviennent
plus sensibles.
Et justement une équipe de scientifiques vient de mettre en évidence ces
neutrinos issus du cycle CNO.
Et ceci grâce à l’expérience
Borexino
(acronyme de BORon solar neutrino EXperiment) enfouie sous 1000 m de roches dans
le massif
du Gran Sasso,
en Italie dans les Abruzzes (au Nord Est de Rome).
Le Laboratoire National du Gran Sasso est géré par l’INFN (Instituto Nazionale
di Fisica Nucleare), mais c’est une coopération internationale.
|
|
|
|
Structure de l’expérience Borexino.
Crédit : Collaboration Borexino |
Vue de la sphère de Borexino.
Crédit : Collaboration Borexino |
Le détecteur comprend une enveloppe sphérique de 18 m de diamètre en acier inox
contenant de l’eau pure, dans laquelle est plongée une autre sphère en acier de
13 m de diamètre recouverte de nylon (barrière au Radon ambiant) contenant de
l’eau pure et tapissée de deux cents PMT (Tubes photo multiplicateurs) sur la
face externe, mesurant pour ainsi dire le bruit de fond. Sa paroi interne est
équipée de 2200 PMT dirigés vers le scintillateur.
À l’intérieur le scintillateur, une bulle transparente en Nylon de 8,5 m de
diamètre, contenant 300 tonnes de liquide scintillateur à base de benzène
La collaboration vient d’annoncer la détection de neutrinos du cycle CNO du
Soleil.
Annonce faite dans la
revue Nature
payant, mais accès gratuit
sur ce site.
Ils ont réussi à isoler pendant un millier de jours de mesures, les neutrinos
provenant du cycle CNO du Soleil (contribuant pour approx 1% à l’énergie du
Soleil) des bruits de fond parasite.
Tout est expliqué dans l’article (attention aspirine non fournie !).
POUR ALLER PLUS LOIN :
Neutrinos prove the Sun is doing a second kind of fusion in its core
L'origine de l'énergie des étoiles confirmée grâce aux neutrinos de Borexino
En détectant les neutrinos solaires, l'expérience Borexino dévoile les
mécanismes de notre étoile
Solar Neutrino Physics with Borexino
Le cycle CNO du Soleil mis en évidence
Real-time solar neutrino spectroscopy at low energies
du Max Planck Institute
CHANG’E-5 :.UN SANS-FAUTE JUSQU’À PRÉSENT.
Chang’e-5, en route pour la lune, 5 jours plus tôt, a effectué avec succès sa
séquence de freinage pour se mettre en orbite lunaire, le 29 Novembre 2020 à 200
km de la surface.
La prochaine étape concerne la séparation en deux parties du train spatial :
l’atterrisseur et le module d’ascension vont se poser sur la Lune, tandis que
l’orbiteur et le module de rentrée terrestre restent en orbite, comme expliqué
sur
ce schéma
fournit par le centre mission. Étape effectuée le 30 novembre.
La séparation est filmée et visible sur Tweeter :
https://twitter.com/i/status/1333276214371512326
Maintenant, l’atterrissage est en vue, il se produit le 1er Décembre
2020 et il est parfaitement réussi.
L’ensemble s’est posé comme prévu
dans l’Océan des Tempêtes (Oceanus
Procellarum)
situé dans la partie Ouest de la surface visible. On a visé en fait la région du
Mont Rümke, qui semble faire partie des terrains « jeunes » (un peu plus d’un
milliard d’années seulement !), et ainsi différents des échantillons déjà
ramenés par les Apollo.

Captures d’écran de l’atterrissage. Crédit : CCTV.
On a pu voir l’atterrissage :
https://twitter.com/i/status/1333795113340858373
Le drapeau chinois est déployé comme
on le voit ici.
Ensuite, il s’est mis au travail, il a copieusement creusé le terrain et rempli
le porte échantillons ; comme on le voit sur cette vidéo sur Tweeter :
https://twitter.com/i/status/1334028019132985344
On voit même la foreuse pénétrant le sol :
https://twitter.com/i/status/1334029023777878018
Les prélèvements ont été transportés dans le conteneur de retour et scellés. Les
échantillons concernent à la fois des prélèvements de surface et les forages de
2 m de profondeur.
Une vidéo YouTube de près de deux heures expliquant la mission et montrant les
images sur le sol lunaire est aussi disponible :
https://youtu.be/bqGzUxfujbM
La sonde a pris un panorama du sol autour d’elle :
Panorama au pied de l’atterrisseur. Crédit : GNSA/CLEP.
Nos amis du CRPG de Nancy
participeront avec les Chinois à l’étude des échantillons qui seront ramenés.
Voir l’interview de Jessica Flahaut de Nancy dans les références plus bas.
La collecte étant terminée, module d’ascension quitte le sol sélène pour une
mise en orbite six minutes plus tard.
Une
photo aurait été prise
du décollage depuis l’atterrisseur.
Une phase délicate se joue maintenant. Le 6 Décembre 2020 a lieu le
rendez-vous
(automatique bien sûr) avec le module de rentrée dans lequel il doit transférer
ses échantillons doit s’effectuer. Opération inédite pour nos amis Chinois,
effectuée avec succès !
Le CNSA nous fournit une vidéo époustouflante du docking et du transfert du
conteneur d’échantillons vers le module de retour.
Vidéo :
https://youtu.be/j_tOl_-4Dfo
Le module reste ensuite en orbite lunaire jusqu’au bon moment pour repartir vers
la Terre, ce qui devrait arriver dans les prochains jours.
Après un vol retour de 4 jours et demi, atterrissage de la capsule en Mongolie
Intérieure.
Quelques vidéos :
POUR ALLER PLUS LOIN:
L'atterrisseur chinois Chang'e 5 vient de se poser sur la Lune avec succès
de Futura Sciences.
Alunissage de la sonde chinoise Chang’e 5 : flip and collecte
de Libération
China's Chang'e-5 Moon mission probe touches down
de BBC News
China's Chang'e-5 probe completes drilling, sealing of lunar samples
Des images à couper le souffle de la Lune prises cette nuit par Chang'e 5
Amazing panorama shows China's Chang'e 5 landing site on the moon (photos)
de Space.com
Chang’e-5 starts collecting samples, will help explain moon's geological
evolution
China's Chang'e 5 probe lifts off from moon carrying lunar samples
Chinese spacecraft carrying lunar rocks lifts off from moon
Chang'e 5 : les échantillons lunaires sont en orbite autour de la Lune
La Chine réalise son premier amarrage en orbite lunaire
Chang'e-5 ascender docks with orbital module in lunar orbit
GAIA : NOUVELLES DONNÉES PUBLIÉES.
Une conférence de presse (à distance) a été donnée à l’Observatoire de Paris le
3 Décembre 2020 pour annoncer cet évènement.
Des
présentations scientifiques
font aussi partie du programme (voir fin de l’article).
On rappelle que GAIA est située au point de Lagrange L2 du système Terre-Soleil,
à 1,5 millions de km de la Terre côté Terre. Voir
la présentation
de Gaia sur ce site.
La première partie du troisième catalogue Gaia (EDR3 Early Data Release 3) est
publiée le 3 décembre 2020 à midi.
Les données sont accessibles depuis
l’archive Gaia
de l’ESA.
L’ESA estime que Gaia a déjà cartographié approximativement 92% des étoiles de
notre environnement immédiat, mais par rapport au catalogue n°2, la précision a
été énormément augmentée. Catalogue final pour 2021.
GAIA données 3 en chiffre. Crédit ESA; CC BY-SA 3.0 IGO
D’après le communiqué : (article
complet)
La publication du troisième catalogue Gaia est découpée en deux parties : Gaia
EDR3 (Gaia Early Data Release 3), le 3 décembre 2020, et Gaia DR3 (Gaia Data
Release 3) au premier semestre 2022. Ces deux catalogues sont basés sur
l’analyse des données obtenues par Gaia pendant les 34 premiers mois de mission,
du 25 juillet 2014 au 28 mai 2017. En comparaison, Gaia DR2 était construit à
partir de 22 mois de données et Gaia DR1 de seulement 14. L’époque de référence
de Gaia DR3 (EDR3 et DR3) est 2016.0, alors que celles de DR2 et DR21 étaient
respectivement J2015.5 et J2015.0.
Figure 1 : Carte du ciel tracée à partir des positions, éclats et couleurs des
1,8 milliard d’étoiles de Gaia EDR3, observées par Gaia entre juillet 2014 et
mai 2017. On y distingue clairement le plan de notre Galaxie, la Voie lactée,
très riche en étoiles, mais aussi en poussières qui obscurcissent la lumière
provenant d’étoiles en arrière-plan. Si on zoome sur n’importe quelle partie de
la carte, on voit la multitude de points qui la compose, même dans les zones
très peu denses en étoiles (voir l’outil de visualisation disponible sur le site
de l’ESA). On y voit aussi, dans la partie droite en bas, les deux taches
laiteuses que forment l’ensemble des étoiles observées par Gaia dans les Grand
et Petit Nuages de Magellan. ©ESA/Gaia/DPAC.
Gaia EDR3 est une avancée majeure par rapport à Gaia DR2
en termes de précision, d’exactitude et d’homogénéité des données astrométriques
et photométriques. Il contient un plus grand nombre de sources : environ 1,8
milliard de sources, entre les magnitudes G≈3 et G≈21, avec une quasi-complétude
entre les magnitudes G=12 et G=17. La complétude varie avec la densité en
étoiles : de G≈20 dans le plan galactique et autour des Nuages de Magellan à
G≈22 aux plus hautes latitudes galactiques. On distingue encore, beaucoup plus
faiblement que pour les deux catalogues précédents, les variations du nombre
d’observations dues au mode de balayage du ciel de Gaia. L’étoile la plus
brillante de Gaia EDR3 a une magnitude de G = 1,73 (eps UMa).
Figure 2 : Le ciel de Gaia EDR3 avec les mouvements de 2000 étoiles en 800 000
ans. Les traits sont d’autant plus longs que les mouvements des étoiles sont
plus grands. © ESA/Gaia/DPAC, CC BY-SA 3.0 IGO
Astrométrie
Pour 1,5 milliard de ces sources, les parallaxes, les mouvements propres et la
couleur (GBP-GRP) sont également disponibles. Par rapport à DR2, la précision
sur les parallaxes trigonométriques est améliorée d’environ 30% et celle des
mouvements propres est typiquement deux fois meilleure. De plus, les erreurs
aléatoires (les incertitudes) sont inférieures de 30 à 40 % pour les parallaxes
et d’un facteur
∼
2,5 pour les mouvements propres. Les positions et mouvements propres sont
rattachés
à
la troisième
réalisation
du repère de référence Gaia (Gaia-CRF3, Gaia Reference Frame), aligné sur le
repère de référence international (ICRF) à mieux que 0,01 milliseconde de degré.
Gaia-CRF3 est matérialisé par 1 614 173 QSOs, soit trois fois plus que pour Gaia
DR2.
Photométrie
La photométrie est, elle aussi, plus précise, mais surtout beaucoup plus
homogène sur l’ensemble du ciel et sur toute la gamme des magnitudes et des
couleurs, sans aucune erreur systématique supérieure à 1%. Le système
photométrique de Gaia DR3, G, GBP, GRP, est un peu différent de celui de Gaia
DR2. Les bandes passantes utilisées sont illustrées sur la Figure 3. Pour
comparaison, sont aussi tracées les bandes passantes nominales calculées avant
le lancement (Jordi et al. 2010) et utilisées pour Gaia DR1. Les transmissions
réelles sont meilleures que les spécifications d’origine.
Liste des objets observés
Les identificateurs de Gaia EDR3 sont construits sur le même principe que pour
les publications précédentes. Comme expliqué (en anglais) dans l’annonce Gaia
DR2, les identificateurs Gaia varient d’une version à l’autre pour diverses
raisons (une source peut avoir changé, apparu ou disparu), mais des
identifications croisées Gaia EDR3 versus Gaia DR2 sont fournies. Il faut noter
que la liste des objets observés est de plus en plus stable et que les
changements entre Gaia DR2 et Gaia EDR3 n’affectent que 2 à 3 % des sources.
Vitesses radiales
Pour faciliter l’utilisation du catalogue, les 7 millions de vitesses radiales
de Gaia DR2 sont incluses dans EDR3, après la suppression d’un petit nombre de
valeurs erronées. Un grand nombre de nouvelles vitesses radiales seront publiées
dans Gaia DR3. Par ailleurs, de nombreuses identifications croisées avec
d’autres catalogues (Hipparcos-2, Tycho-2 + TDSC, 2MASS PSC (avec 2MASX), SDSS
DR13, Pan-STARRS1 DR1, SkyMapper DR1, GSC 2.3, APASS DR9, RAVE DR5, allWISE, et
URAT-1) sont incluses dans EDR3.
Premières applications de EDR3
La publication de Gaia EDR3 est accompagnée de plusieurs articles décrivant en
détail le catalogue et le traitement des données ainsi que de quatre articles,
publiés dans Astronomy and Astrophysics, démontrant son potentiel scientifique
dans quatre domaines différents :
·
Un recensement très complet des étoiles proches du Soleil : 331 312 étoiles
situées à moins de 100 pc du Soleil, permettant nombre de recherches sur les
luminosités, la cinématique et les orbites de ces étoiles, en particulier les
plus faibles de celles-ci. Le nombre d’étoiles connues pour être à moins de 100
pc du Soleil est multiplié par 10 par rapport à Hipparcos grâce à Gaia EDR3
(Hipparcos ne pouvait observer que des étoiles brillantes) ;
·
Une étude détaillée des différentes populations d’étoiles, d’origine galactique
et extragalactique, en direction de l’anticentre galactique. Dans cette région
de notre Galaxie, opposée au centre galactique, on peut distinguer beaucoup plus
clairement les perturbations que notre Galaxie a subies tout au long de son
histoire, en particulier les variations en taille du disque ;
·
Une étude complète de la structure, de la cinématique et des propriétés des deux
Nuages de Magellan et de leurs différentes populations d’étoiles, ainsi que du
pont (le Magellanic Bridge) qui les relie, montrant le courant d’étoiles partant
du Petit Nuage de Magellan et allant vers le Grand Nuage. C’est la première que
l’on peut mesurer le mouvement de rotation d’une galaxie spirale (le Grand Nuage
de Magellan), vue de l’extérieur ;
·
Une étude des mouvements propres des quasars de Gaia EDR3 qui révèle un effet
systématique dû à l’accélération du barycentre du Système Solaire par rapport au
repère de référence des sources extragalactiques distantes. Cette mesure est en
bon accord avec les attentes théoriques et fournit la première mesure de la
courbure de l’orbite du système solaire autour de la galaxie dans l’histoire de
l’astronomie optique. C’est l’amélioration spectaculaire de la qualité de
l’astrométrie et la diminution drastique des erreurs systématiques qui ont rendu
cette mesure possible .
Plus d’information (en anglais) sur le
site Gaia de l’ESA,
avec quelques exemples d’applications.
Gaia DR3
Le catalogue complet Gaia DR3 est prévu pour le premier semestre 2022. Il
contiendra l’ensemble des données astrométriques et photométriques publiées dans
Gaia EDR3, pour le même ensemble de sources et beaucoup de données
supplémentaires.
Des détails sur la conférence de presse :
Bienvenue par Fabienne Casoli, Présidente de l’Observatoire de Paris – PSL
11h00-11h15 : Gaia et son 3ème catalogue. Son contenu et sa validation
(Catherine Turon et Frédéric Arenou, GEPI, Observatoire de Paris)
11h15-11h22 : Le catalogue Gaia des étoiles proches (Céline Reylé, Institut
UTINAM, OSU THETA)
11h22-11h29 : L’anticentre galactique vu par Gaia (Georges Kordopatis, Lagrange,
OCA)
11h29-11h36 : Exploration des Nuages de Magellan (Laurent Chemin, Universidad de
Antofagasta, Chili, ex GEPI et LAB)
11h36-11h41 : Balade dans la Voie lactée (Clément Hottier, GEPI, Observatoire
de Paris)
11h41-11h48 : Les prochains catalogues Gaia (Chantal Panem, CNES)
Questions/ Réponses
Programme de l’après-midi
14:00 Fabienne Casoli, Présidente de l’Observatoire de Paris – PSL :
introduction
14:05 Paola Di Matteo (GEPI) : Le disque de la Voie lactée dévoilé par Gaia :
crêtes, ondulations, et structure spirale
14:25 Pierre Kervella et al. (LESIA) : les compagnons stellaires et
sous-stellaires à l’aide des mouvement propres Gaia
14:45 Misha Haywood (GEPI) : Histoire d’une rencontre galactique
15:05 Bruno Sicardy (LESIA) : les occultations stellaires avec Gaia
15:15 Jean Schneider (LUTh) : Recherche d’astéroïdes interstellaires avec Gaia
15:30 Clement Hottier (GEPI) : « Dépoussiérer » la Galaxie avec Gaia
16:00 Louise Breuval (LESIA) : La loi de Leavitt des Céphéides de la Voie lactée
grâce aux parallaxes de Gaia DR2 et à des amas ouverts hôtes
16:20 Francois Hammer (GEPI) : Gaia DR2 : conséquences sur la nature des
galaxies naines sphéroïdales et sur la masse de la Voie lactée
16:40 Frédéric Arenou (GEPI) : Gaia, de DR2 à EDR3
POUR ALLER PLUS LOIN :
L'ESA a publié les nouvelles données collectées par la sonde Gaia
Gaia dévoile sa nouvelle carte de la Voie lactée avec près de 2 milliards de
sources !
GAIA : les 1ères données du catalogue n°3 sont sorties
Gaia’s new data takes us to the Milky Way’s anticentre and beyond
3 décembre 2020 : le Catalogue Nouveau est arrivé !
CSTE DE STRUCTURE FINE : SA MESURE A ÉTÉ GRANDEMENT AMÉLIORÉE.
Si je vous dis que la constante de structure fine vient d’être mesurée avec une
précision de 11 chiffres, 3 fois plus précis que les mesures précédentes, je
suis sûr que vous me diriez, à quoi bon !
Eh bien vous auriez tort !
Cette constante (appelée alpha) fait partie des constantes fondamentales qui
déterminent notre Univers.

Tout d’abord, c’est quoi la constante de structure fine ???
C’est elle qui régit la force électromagnétique assurant la
cohérence des atomes et
des molécules, on imagine donc bien son importance.
(d'après Wikipedia et autres sources) :
La constante de structure fine, représentée par la lettre grecque
,
régit la force
électromagnétique qui
assure la cohérence des atomes et des molécules. Elle fut proposée en 1916 par
le physicien Arnold
Sommerfeld.
C’est une constante sans dimension, sa valeur communément admise est de :
ou
proche de 1/137.
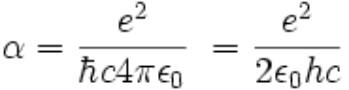
Elle est définie comme suit :

Où
est la charge électrique élémentaire,
est
la constante de Planck réduite,
est
la vitesse de la lumière dans le vide, et
la permittivité
du vide.
Historiquement, la première interprétation de cette constante est le rapport
entre la vitesse d’un électron sur la première orbite circulaire du modèle
atomique de Bohr et la vitesse de la lumière dans le vide.
Dans la théorie de
l’électrodynamique quantique, elle
représente la force de l’interaction entre les électrons et les photons.
Sa valeur ne peut pas être déduite par la théorie, mais uniquement par
l’expérience.
On pense que cette constante ne l'a pas été dans le passé, et qu'elle a
peut-être subi de légères variations.
Bref on ne peut pas réellement statuer, mais la question de variation des
constantes se pose quand même.
Eh bien, une équipe française du laboratoire
Kastler-Brossel
et du
CNAM,
vient d’améliorer d’un facteur 3 la mesure de cette constante fondamentale, avec
une précision de mesure de 81 parties par mille milliards (trillion en anglais).
Voici un extrait du communiqué des chercheurs :
La validation et l’application des théories physiques nécessitent l’utilisation
de grandeurs universelles : les constantes fondamentales. Une équipe de
recherche française vient d’effectuer la mesure la plus précise à ce jour de la
constante de structure fine, qui caractérise la force de l’interaction entre la
lumière et les particules élémentaires chargées, comme les électrons.
Cette valeur est à présent attribuée avec
11 chiffres
significatifs, améliorant d’un facteur 3 la précision de la dernière
mesure en date. Les scientifiques ont atteint une telle exactitude en
perfectionnant leur dispositif expérimental, afin de réduire les imprécisions et
de contrôler les effets susceptibles de perturber la mesure.
L’expérience consiste à refroidir des atomes de rubidium à une température
proche du zéro absolu. Ces derniers reculent lors de l’absorption de photons
lumineux à une vitesse qui dépend de leur masse et la mesure très précise de ce
phénomène permet d’affiner la connaissance de la constante de structure fine.
On en voit le principe sur
cette illustration
de l’article.
Ces résultats, parus dans
Nature le 3 décembre,
ouvrent de nouvelles voies pour évaluer les prédictions théoriques du modèle
standard.
L’utilisation de constantes plus précises pourrait permettre de répondre à des
questions fondamentales comme celle de l’origine de la matière noire dans
l’Univers.
On peut se poser la question de l’utilité d’une mesure aussi précise ? Il semble
que cela permette d’évaluer différents modèles de la physique des particules et
éventuellement de voir si cela ne mène pas à une nouvelle physique.
POUR ALLER PLUS LOIN :
C'est un record : la constante de structure fine a été calculée avec 11 chiffres
significatifs
Standard model of particle physics tested by the fine-structure constant
Physicists Nail Down the ‘Magic Number’ That Shapes the Universe
Determination of the fine-structure constant with an accuracy of 81 parts per
trillion
Une équipe française perfectionne la mesure d’une constante fondamentale de la
physique
Conférence SAF de R Lehoucq sur les constantes fondamentales.
HAYABUSA-2 : RETOUR SUR TERRE RÉUSSI !
En Novembre 2019, la sonde Hayabusa-2 a quitté l’astéroïde Ryugu pour un retour
sur Terre le 5 ou 6 décembre 2020 où elle doit propulser la capsule
d’échantillons de 16 kg dans le désert australien de Woomera.
C’est ce qui s’est produit ce 5 dec 2020 à 17h30 GMT, on a pu suivre en direct
la trace lumineuse dans le ciel australien.
Elle est récupérée rapidement par les équipes qui l’attendait sur place. Un
énorme succès pour une mission dont on n’a peu ou pas entendu parler à la télé.
Bravo les amis Japonais.
|
Trace de la rentrée de la capsule (crédit JAXA) |
Récupération de la capsule dans le désert de Woomera
crédit JAXA |
Les échantillons seront partagés moitié-moitié entre NASA et JAXA.
Ensuite comme il reste du carburant dans la sonde, il est prévu que celle-ci
fasse d’abord quelques tours du Soleil avant de s’intéresser à ses prochaines
cibles qui pourraient être les astéroïdes 2001 CC21 en 2026 et 1998 KY26, un
minuscule astéroïde en 2031. Bref
une belle ambition
pour cette mission bon-marché et qui n’a pas fait la une de la presse, comme
déjà dit.
POUR ALLER PLUS LOIN :
Livraison spatiale: une sonde japonaise rapporte des échantillons d'astéroïde
Une sonde japonaise rapporte aux terriens des échantillons d'astéroïde
Hera team congratulates JAXA on asteroid sample return
Une sonde japonaise rapporte des échantillons d’astéroïde
Tout sur les missions Hayabusa
sur votre site préféré.
LIVRE CONSEILLÉ : LUMIÈRES DE JEAN AUDOUZE , C.SUBRAN ET M.MENU.

Notre ami Jean Audouze et deux de ses collègues Costel Subran et Michel Menu
viennent de publier un nouveau livre dont le titre évocateur est : Lumières. Cet
ouvrage est préfacé par Gérad Mourou prix Nobel.
L’idée de ce livre est née lors de la rencontre entre Jean Audouze,
astrophysicien et président d’honneur de la Commission française auprès de
l’UNESCO, Costel Subran, expert en physique des lasers et président de la
Fédération française de Sociétés scientifiques et Michel Menu, chef du
département recherche et de restauration des musées de France, C2RMF, Palais du
Louvre. Associer la science, la culture et la philosophie aux débats sur la
lumière ? Associer les technologies au bien-être de l’être ? Associer le monde
spirituel et moral avec ses idéologies, ses croyances et mettre en regard les
effets des innovations techniques sur notre culture et nos comportements ?
Voilà ce qu’en disent les auteurs :
La lumière est une symphonie de couleurs. Notre livre constitue les trois
premiers instruments d’un grand orchestre de LUMIERES qui reste à construire :
Lumières du ciel
Lumières laser
Lumière et art
Trois personnalités - un astrophysicien, un expert dans la physique des lasers
et un spécialiste du patrimoine – partagent, transmettent trois regards
différents sur la lumière et ouvrent la voie aux débats et analyses
interdisciplinaires. Ils surlignent le caractère d’universalité de la lumière,
essentielle à notre existence, associent le monde scientifique, rigoureux et
précis à la pensée, à la connaissance, aux découvertes et innovations
contemporaines.
Trois domaines différents mais ô combien complémentaires, dont le dénominateur
commun est la lumière associée à la connaissance. La lumière est source de la
vie, célébrée par tous, en physique, en peinture, en poésie, en philosophie, en
médecine, en politique, en sociologie. Il est bon d’être éclairés, mais par
quelles lumières ? Nous ouvrons la voie aux débats autour de la lumière, des
sciences et de la culture.
Élégance, éloquence, rigueur, beauté sont les maitres mots de ce beau livre
grand public, accessible à tous et qui contient des photos magnifiques.
Éditeur : EDP Sciences Hors Collection / ISBN : 978-2-7598-2363-5
240 pages couleur
Relié, format 20 x 25 cm Prix papier :
29€ TTC Prix e-book (PDF) : 19.99€ TTC
L’idée de ce livre est née lors de la rencontre entre Jean Audouze,
astrophysicien et président d’honneur de la Commission française auprès de
l’UNESCO, Costel Subran, spécialiste des lasers et président de la Fédération
française de Sociétés scientifiques et Michel Menu, chef du département
recherche et de restauration des musées de France, C2RMF, Palais du Louvre.
Le thème central qui les a réunis fut la LUMIÈRE ! Trois domaines différents
dont le dénominateur commun est la lumière. Des éclairages contemporains mais
aussi celui des esprits des lumières qui posent la question de la destination
finale de nos actions. La lumière source de la vie, essentielle à notre
existence, est donc à utiliser sans limites.
La lumière est présente dans toutes les activités humaines, sociétales,
économiques : vie quotidienne, développement durable, santé, énergie, éclairage
intelligent, affichage, environnement, information, communication, stockage de
données, Internet, espace, transport, sécurité, agriculture raisonnée.
La lumière est un instrument de recherche moderne dans toutes les sciences et
tous les arts : physique fondamentale, biologie, chimie, histoire, écologie,
astronomie, arts et lumière, architecture, archéologie.
Associer la science, la culture et la philosophie aux débats sur la lumière ?
Associer les technologies au bien-être de l’être ? Associer le monde spirituel
et moral avec ses idéologies, ses croyances et mettre en regard les effets des
innovations techniques sur notre culture et nos comportements ?
Grâce à la lumière, on se convainc que la science fait vraiment partie de la
culture. On parle bien ici de la culture de la science et des sciences de l’art.
En ayant réussi à évoquer la lumière sous tous ses aspects, les trois auteurs
ouvrent la voie aux débats et analyses interdisciplinaires autour des LUMIÈRES !
Bonne lecture à tous.
C’est tout pour aujourd’hui !!
Bon ciel à tous !
JEAN-PIERRE MARTIN
Abonnez-vous gratuitement aux Astronews
du site en envoyant votre e-mail.
Astronews précédentes :
ICI
Pour vous désabonner des Astronews :
cliquez ICI.